Предмет: Алгебра,
автор: veraartisIZ
СРОЧНО!! ПОЖАЛУЙСТА, ДАЮ МНОГО БАЛОВ. ОЧЕНЬ НУЖНО!!
Приложения:
Ответы
Автор ответа:
0
Объяснение:
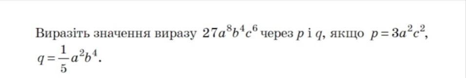
27а⁸b⁴c⁶
p = 3a²c²
27a⁸b⁴c⁶ : 3a²c² = 9a⁶b⁴c⁴
27a⁸b⁴c⁶
q = 1/5a²b⁴
27a⁸b⁴c⁶ : 1/5a²b⁴ = 135a⁶c⁶
Похожие вопросы
Предмет: География,
автор: alexlys228228
Предмет: Українська мова,
автор: shapovalnasty0
Предмет: Математика,
автор: khlynova24
Предмет: Литература,
автор: nadezhda1chernoiarov
Предмет: Химия,
автор: snezhanapo