Предмет: Математика,
автор: goncara873
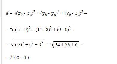
1. Визначити відстань між точками A(3:8); B(-5;14)
Ответы
Автор ответа:
1
Ответ:
Пошаговое объяснение:
Приложения:
Похожие вопросы
Предмет: Химия,
автор: smartbabushka9
Предмет: ОБЖ,
автор: lbila8220
Предмет: История,
автор: martagerasimenko2009
Предмет: Қазақ тiлi,
автор: curalaicairanbaeva
Предмет: Алгебра,
автор: nastenaanufrieva05