Предмет: Математика,
автор: Anton200422
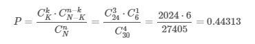
В партії із 30 деталей 6 стандартних. Навмання
відбирається 4 деталей. Знайти ймовірність того, що серед
відібраних 4 деталей – 1 стандартних.
gaysfoxy:
в первом непонятно. 6 -2? Это как?
Мы не знаем как в задаче написано так и написал
Без 2 попробу
как вариант убери реально 2
Ответы
Автор ответа:
0
Ответ:
0.44313%
Пошаговое объяснение:
Приложения:
Похожие вопросы
Предмет: Математика,
автор: masharsop
Предмет: История,
автор: yarik6295
Предмет: Математика,
автор: masharsop
Предмет: Алгебра,
автор: userfam76
Предмет: Геометрия,
автор: Karynka09