Предмет: Физика, автор: dimacompozitor

!!!ТЕРМІНОВО ПОТРІБНЕ ПОВНЕ РОЗВ'ЯЗАННЯ ЗАДАЧІ З ПОЯСНЕННЯМИ!!!
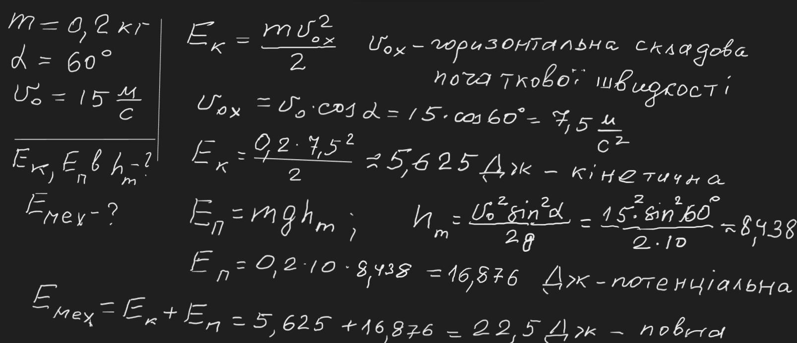
Камінь масою 0,2 кг кинули під кутом 60° до горизонту зі швидкістю
15 м/с. Знайти кінетичну, потенціальну і повну енергії каменя у найвищій точці траєкторії.

Ответы

Автор ответа: zybkov1950
1

Відповідь: Див. додаток

Пояснення:

Приложения:

dimacompozitor: О, Боже, велике Вам дякую!!!
Похожие вопросы