Предмет: Геометрия,
автор: Flow142
ДАЮ 100 БАЛЛОВ
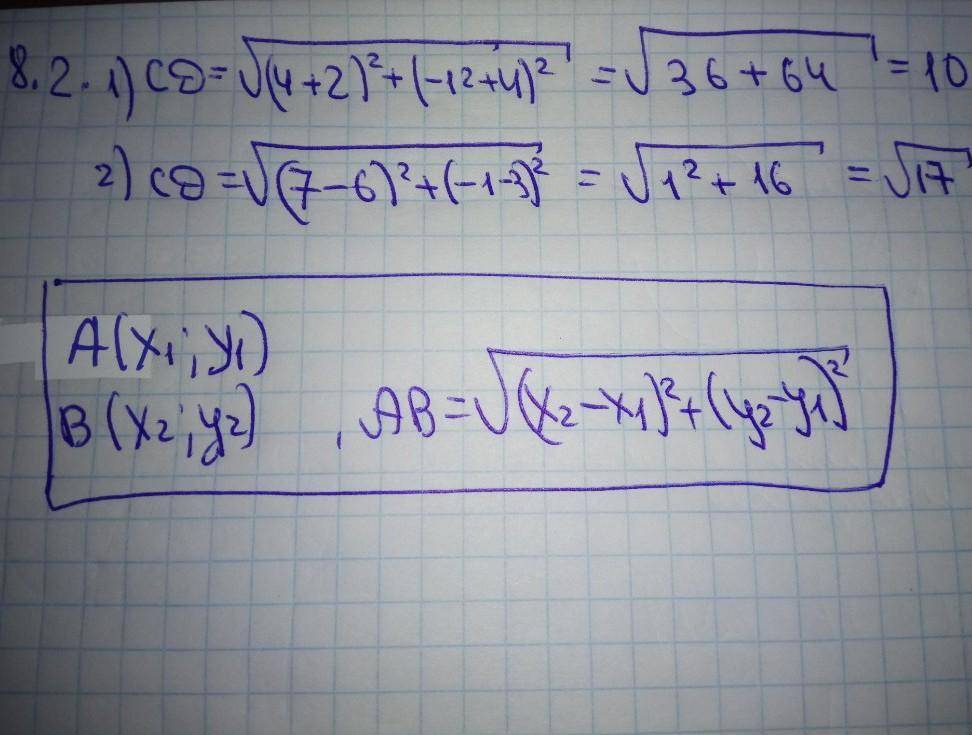
1) Знайдіть відстань між точками C і D, якщо:
• C (–3; 4), D (4; –12);
• C (6; 3), D (6; –1).
2) Доведіть, що кути А і C трикутника ABC рівні, якщо A (-2; -3),
B (1; 8), C (4; -3).
3) Чотирикутник ABCD — паралелограм, A (–5; –1), C (4; 5),
D (–1; 5). Знайдіть координати вершини B.
(не графічно, на високий рівень)
Ответы
Автор ответа:
1
Ответ:
Надеюсь помог:).
Объяснение:
Всем удачи и дайте скок можете балов пж
Приложения:
Flow142:
А что это за задание?
Как тут баллы дать? Они разве автоматически не переводятся или тип того?
Похожие вопросы
Предмет: Українська література,
автор: Аноним
Предмет: Биология,
автор: LEONCHIKTOPCHIK
Предмет: География,
автор: Аноним
Предмет: География,
автор: fqwef
Предмет: Математика,
автор: CR71011