Предмет: Алгебра,
автор: getmangeorgij178
ПОМОГИТЕ СРОЧНО! БОЛЬШЕ БАЛЛОВ НЕТУ, СОРИ
Приложения:
Mirox921:
Балы это не главное)
баллы*
Ответы
Автор ответа:
1
Ответ в прикрепленном фото:
Приложения:
Автор ответа:
0
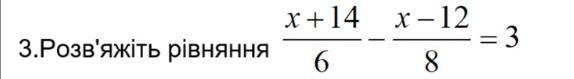
Ответ: умножить обе части на 24
4(х+14)-3(х-12)=72
4х+56-3х+36=72
х+92=72
х=72-92
х=-20
Объяснение:
Похожие вопросы
Предмет: Геометрия,
автор: Аноним
Предмет: Геометрия,
автор: roksolana590
Предмет: География,
автор: Аноним
Предмет: Литература,
автор: 5647584637
Предмет: Английский язык,
автор: alekseikaraganskii68