Предмет: Математика,
автор: ceburececeburek
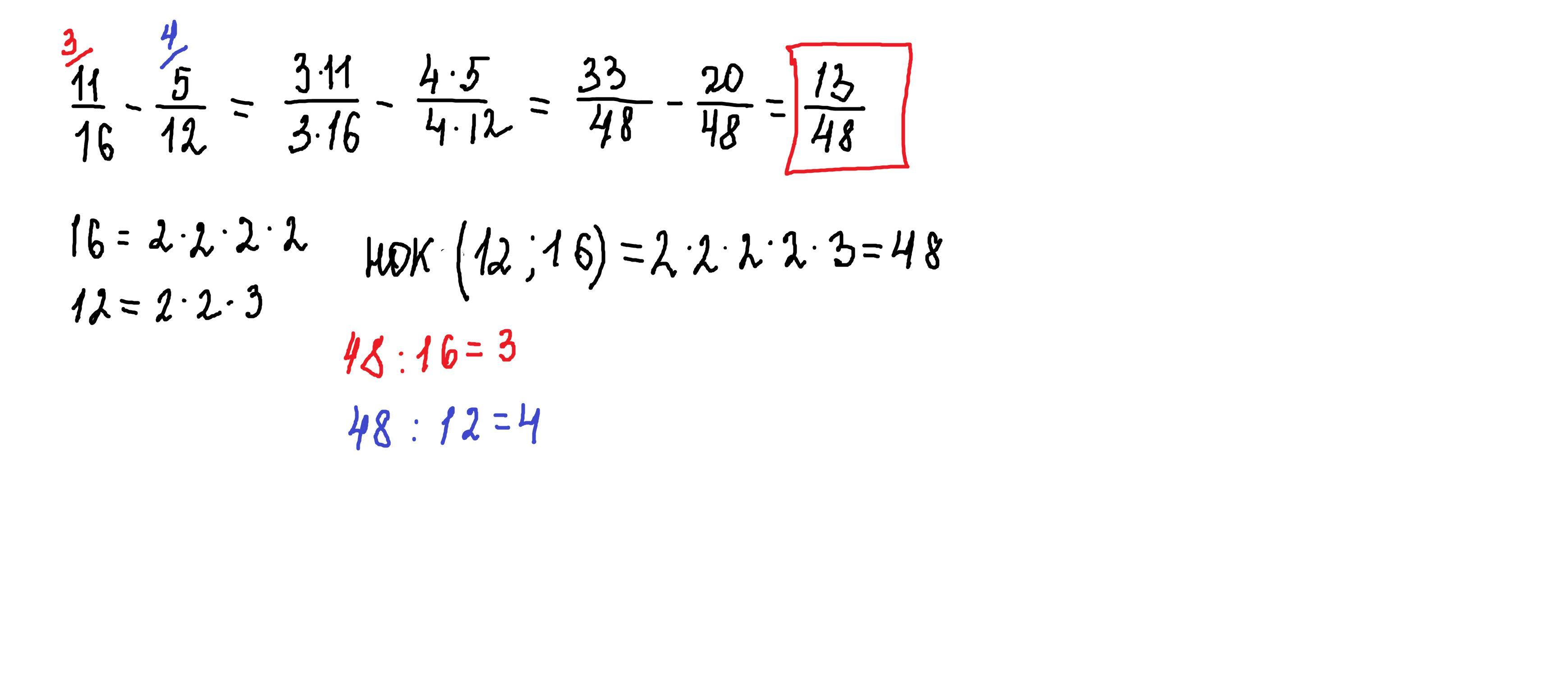
11/16 - 5/12 с пошаговым решением пожалуйста
Ответы
Автор ответа:
1
Ответ:
13/48
Пошаговое объяснение:
решение внизу
Приложения:
Похожие вопросы
Предмет: Биология,
автор: mosulanna6
Предмет: Українська література,
автор: sashamironets4643
Предмет: История,
автор: denderinvolodymyr
Предмет: Математика,
автор: whatdo73737
Предмет: Литература,
автор: maushai28