Предмет: Математика, автор: 1031student

СРОЧНО ПОЖАЛУЙСТА СДЕЛАТЬ МАТЕМАТИКУ

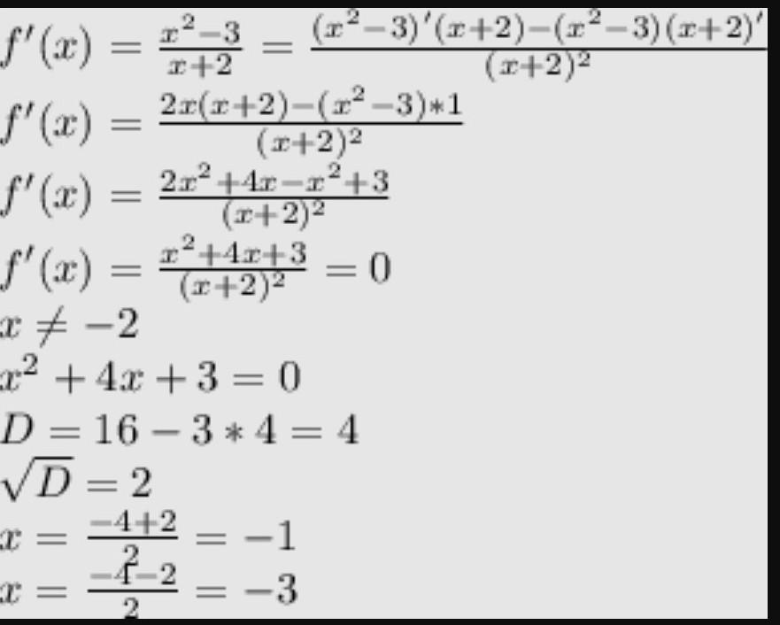
Приложения:

Ответы

Автор ответа: nurkin887
0

Пошаговое объяснение:

ну понятно?+-:-&&7&-_₽4555566666

Приложения:

1031student: так
1031student: а область визначення
1031student: проміжки спадання і зростання
1031student: множина значень, где это все?
Похожие вопросы
Предмет: Қазақ тiлi, автор: Linaa436
Предмет: Английский язык, автор: altynai777m
The Beatles was British 1)​pop-rock band. After the World War II central Liverpool was in ruins and it was the Beatles 2)​made it world famous again. They were formed in 1960 and became the most 3)​band in the history of music. The band consisted 4)​John Lennon, Paul McCartney, George Harrison and Ringo Starr. They were all 5)​in Liverpool.
In March 1957 John Lennon formed his first group called “The Quarrymen”. The name came from the Quarry Bank Grammar School in Liverpool, where John went to. He was 16. John 6)​Paul McCartney at a summer festival in July of the same year. Paul was 15 and had a very good voice and John asked him to 7)​the band. Later Paul introduced to John his classmate, George Harrison, who was 14 but he was really talented. John, Paul and George, together with Stu Sutcliffe and Pete Best began to play in German clubs. During their time in Germany, Stu Sutcliffe decided to 8)​​the group. The remaining members changed their name to “The Beatles” in 1960 and after a few years spent out from Liverpool, they decided to go back to their hometown. The group’s name is a clever combination of the words “beetles” and music “beat”.
Later they met the young record store owner Brian Epstein who told them to change their hairstyle and their clothes. The “Beatle look” was born. Their style, clothes, the way of living 9)​them trend-setters. In 1962 Ringo Starr became part of the band. The Beatles had their first number 1 hit with “Please, Please Me” in 1963. They gave their first US concert the following year. From this point on in the history the Beatles became very popular. Hysterical fans followed them in every concert and Beatlemania ruled all over the world.
They changed pop music forever, because they were the first British band to write their own songs and music. Unfortunately, the group 10)​in 1969.


Read the text about Beatles and choose the correct words to complete the gaps:
1) a. greatest b. better c. large
2) a. which b. who c. where
3) a. success b. successed c.successful
4) a. of b. from c. by
5) a. burn b. born c.borned
6) a. met b. meet c.meeted
7) a. attend b. go c. join
8) a. live b. leave c.left
9) a. made b. told c. left
10) a. broke b. broke up c. broke down
Предмет: Алгебра, автор: dunisgafrulenko
Предмет: Русский язык, автор: Ibra220382
ДАЮ 16 баллов!!!!!

Вопрос № 8
Раздельно пишутся слова:

1. (ослепительно)прекрасны
2. прийти (во)время
3.когда(нибудь
4. (с)боку на бок
5. то(же) самое
6. разделить (на)двое

Вопрос № 9
Через дефис пишутся слова:

1.(по)матерински добра
2.(пол)Борисовского района
3.(бело)каменный
4. (вице)президент
5. (радио)волна

Вопрос № 10
Слитно пишутся слова:

1. (красно)знаменный полк
2. стоять (на)четвереньках
3.не (в)меру
4. (пол)батареи
5. идти (на)встречу другу

Тест №
Слитные, дефисные и раздельные написания
1.​В каком ряду все слова пишутся слитно?
1) био(сфера), (до)ныне, (по)русски
2) (сбер)банк, (жар)птица, (на)сквозь
3) (сорви)голова, (проф)союз, (на)всегда,
4) (метео)сводка, (премьер)министр, (пяти)летка

2.​В каком варианте ответа указаны слова, которые пишутся через дефис?
А) (кто)либо, В) (по)царски
Б) (путь)дорога Г) (просто)напросто
1) А, Б 2) А, Б, Г 3) Б, В, Г 4) А, Б, В, Г

3.​В каком ряду все слова пишутся раздельно?
1) (в)ничью, во-первых, давным-давно
2) сбоку, откуда-то, пол-листа,
3) в одиночку, на четвереньках, потому что
4) вплотную, всего-навсего, по- древнегречески

4.​В каком ряду сложные прилагательные пишутся через дефис?
1) бледно-розовый, северо-восточный
2) водопроводный, ярко-красный
3) двухэтажный, русско-французский,
4) приставочно-суффиксальный, быстрорастворимый

5.​В каком варианте ответа указаны наречия, которые пишутся слитно?
А) доныне, на миг
Б) вовсю, издалека
В) попусту, на скаку
Г) вчетверо, вприсядку
1) А, В 2) Б, Г 3) А, Б, В 4) Б, В, Г

6.​В каком ряду расположены слова, написание которых зависит от контекста?
1) (на)встречу, (не)смотря, землетр(е,я)сение
2) (не)удача, (в)место, жаре(н,нн)ый
3) (ни)разу, то(же), прочита(н,нн)ый
4) (во)всю, (в)пустую, оди(н,нн)адцатилетний



7.​В каком предложении что(бы) пишется слитно?
1) Что(бы) такое почитать – интересное, захватывающее?
2) Что(бы) поэт ни читал, его с волнением слушали.
3) Он никогда не писал такого, что(бы) могло быть скучным.
4) Нужно много читать, что(бы) быть образованным человеком

8.​В каком предложении то(же) пишется слитно?
1) И завтра будет то(же), что вчера.
2) То(же) слово, да не так бы молвить.
3) Мы то(же) идём на премьеру спектакля.
4) Рассказ длинный и в то(же) время интересный.


9.​В каком предложении выделенные слова пишутся раздельно?
1) (В)течение (не)большого времени молча шли по берегу.
2) Говорить (ни)(о)чём (не)хотелось.
3) Тропинка (в)последствии спускалась к самой воде.
4) Не)смотря (ни(на)что, пришли всё(таки) вовремя.

10.​В каком предложении допущена орфографическая ошибка?
1) Что сделал бы в жизни Пришвин, если бы не стал писать?
2) Он вряд-ли открыл бы миллионам людей русскую природу.
3) Природа, несомненно, требует пристального глаза.
4) Секрет колдовства Пришвина – как раз в этой его зоркости.

11.​В каком варианте ответа правильно указаны все цифры, на месте которых не пишется со словом раздельно?
У Достоевского нет героев без идеи, но без действия нет у него и романа, как (1)было без действия и трагедии у великих драматургов, учителей его. Можно сказать ещё категоричнее: идея, (2)реализующаяся в поступке, (3)проверяемая в деле, для него (4) идея.
1) 1, 2, 3, 4 2) 2, 3 3) 1, 4 4) 1, 2, 4

12.​В каком варианте ответа указаны предложения, в которых все выделенные слова пишутся слитно?
А) В повестях Тургенева о любви (не)льзя (не)заметить грустной интонации.
Б) Любовь тургеневского героя, как правило, (не)разделённая или (не)завершённая, оборванная обстоятельствами.
В) Чем(бы) (ни)кончилась первая любовь, она, как солнце, озаряет жизнь человека, а память о ней остаётся (на)всегда с ним, как животворное начало. И.С.Тургенев.
Г) Твой милый образ, (не)забвенный,
Он предо мной везде, всегда,
(Не)достижимый, (не)изменный,
Как ночью на небе звезда. Ф.И.Тютчев
1) А, Б 2) Б, В 3) Б, Г 4) А, В, Г