Предмет: Алгебра,
автор: dimabos2007
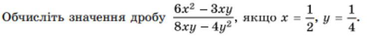
обчислить значення дробу 6х²-3ху\8ху-4у² якщо х = 1\2 у = 1\4
Приложения:
Ответы
Автор ответа:
1
Ответ:
відповідь на цей приклад 3/2
Приложения:
Похожие вопросы
Предмет: Алгебра,
автор: ponatnopon99993
Предмет: Английский язык,
автор: ulatuseva8
Предмет: Оʻzbek tili,
автор: nodirbekvahobov3
Предмет: Математика,
автор: ketplotnichenko2007
Предмет: Биология,
автор: Аноним