Предмет: Математика,
автор: 1cshrbn91lf3ybbk
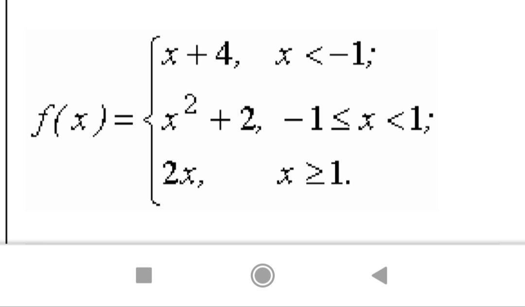
Помогите пожалуйста.
Приложения:
Ответы
Автор ответа:
0
Ответ:
Пошаговое объяснение:
Приложения:
Похожие вопросы
Предмет: Геометрия,
автор: arinakrivun08
Предмет: Другие предметы,
автор: Аноним
Предмет: Українська мова,
автор: masagulakova815
Предмет: Математика,
автор: kdenis0ff