Предмет: Алгебра,
автор: anton200802
ПОМОГИТЕ ПОЖАЙЛУСТА!!!!!!!!!!!!!!!!
Приложения:
Ответы
Автор ответа:
1
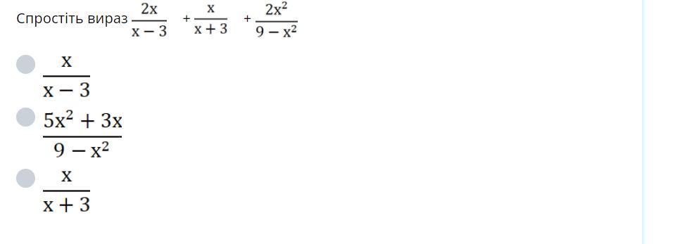
Ответ: первый вариант
Похожие вопросы
Предмет: Английский язык,
автор: saved42
Предмет: Оʻzbek tili,
автор: horoshilovava
Предмет: Английский язык,
автор: mariakaydas1990
Предмет: История,
автор: aminaicecreamuwu
Предмет: Геометрия,
автор: maksyelagin