Предмет: Алгебра,
автор: Lizapotteroman
Допоможіть швиденько будь ласка!!
Даю 39 балів якщо зараз виконаєте!!
Приложения:
kata85355:
Це потрібно порівняти?
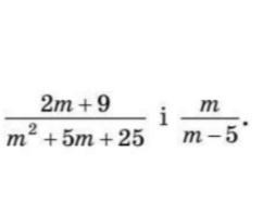
Подайте данні дроби у вигляді дробі з однаковими знаменниками
Ответы
Автор ответа:
1
Я зробила так. Якщо нескладно, то познач, як найкраща відповідь
Приложения:
Подайте данні дроби у вигляді дробі з однаковими знаменниками
Мені потрібно не рішення а потрібно подати данні дроби у вигляді дробі з однаковими знаменниками
ой, вибач
вирішіть будь ласка
Похожие вопросы
Предмет: Физика,
автор: Astrolog214
Предмет: История,
автор: kovch474675
Предмет: Қазақ тiлi,
автор: Аноним
Предмет: Русский язык,
автор: sambetovkirill2008