Предмет: Алгебра,
автор: katrixx53
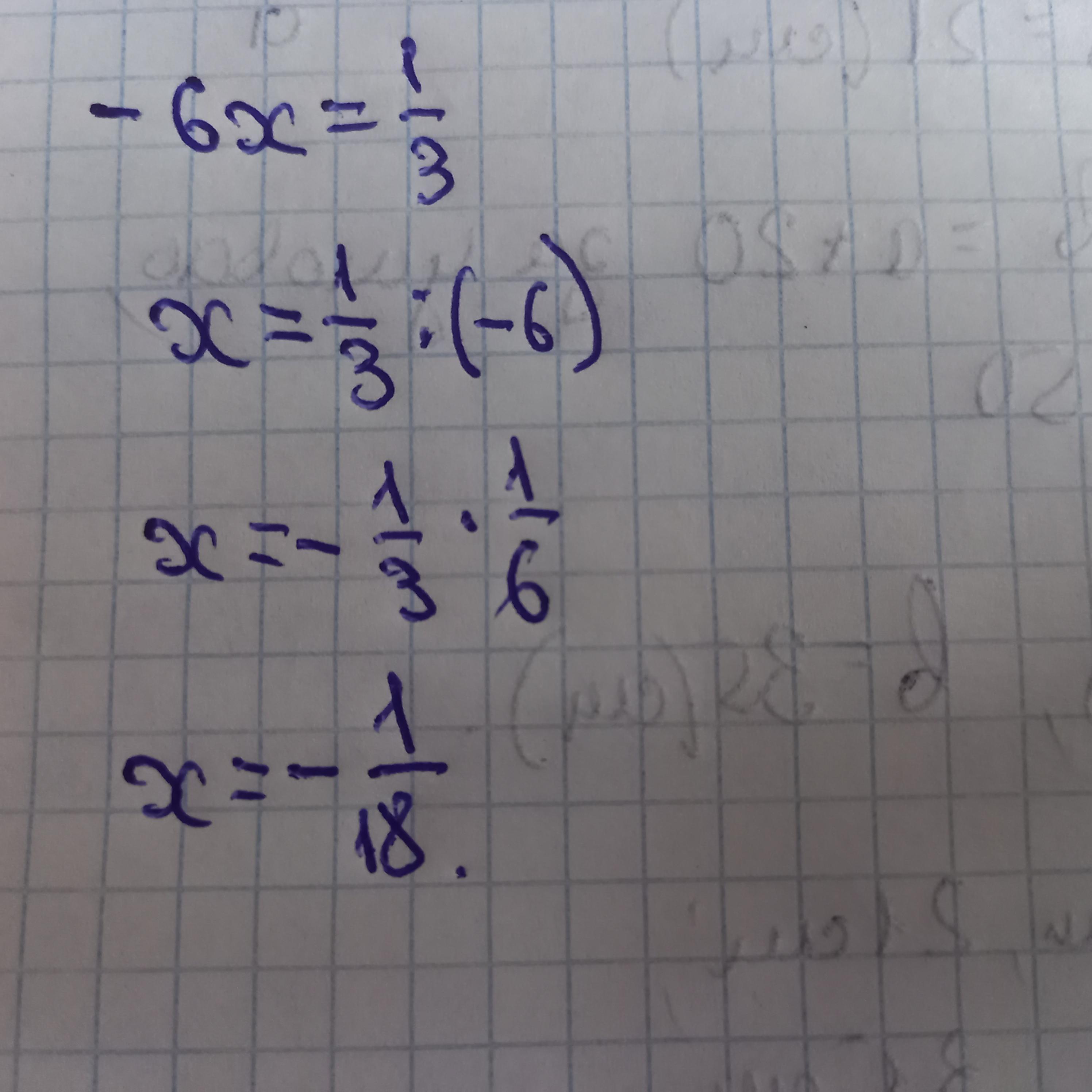
-6x=1/3 розв'яжіть рівняння
Ответы
Автор ответа:
1
Відповідь: фото
Пояснення:
Приложения:
aarr04594:
Нехай щастить.
Похожие вопросы
Предмет: Химия,
автор: yarikjordan228
Предмет: История,
автор: adrovaa
Предмет: Математика,
автор: wqilmx
Предмет: Английский язык,
автор: soremi7887
Предмет: Українська мова,
автор: dashamlavets