Предмет: Алгебра, автор: nastaavtooshenko

помогите ,даю 100 баллов

Приложения:

Ответы

Автор ответа: manyny06
0

Ответ:

решение смотри на фотографии

Приложения:
Автор ответа: MuhammadGulu
0

Первая фотография:

a) \:  \:  \:  \:  \:  \frac{24 {}^{ - 3} }{ {8}^{ - 3} }  =   \frac{ {8}^{ - 3}  \times  {3}^{ - 3} }{ {8}^{ - 3} }  =  {3}^{ - 3} =  {( \frac{1}{3} )}^{3} =  \frac{1}{9}   \\

б) \:  \:  \:  \:  \:  \frac{6.5 {}^{ - 5} }{ {13}^{ - 5} }  =  \frac{ {6.5}^{ - 5} \times  {2}^{ - 5}  }{ {6.5}^{ - 5} }  =  {2}^{ - 5}  =  {( \frac{1}{2} )}^{5}  =  \frac{1}{32}  \\

в) \:  \:  \:  \:  \:  {2}^{ - 5}  \times  {5}^{ - 5}  =  {10}^{ - 5}  = ( \frac{1}{10}  {)}^{5}  =  \frac{1}{100000}  \\

г) \:  \:  \:  \:  \:  {3}^{ - 8}  \times ( \frac{1}{3} ) {}^{ - 8}  = 1 \\

д) \:  \:  \:  \:  \:  {0.125}^{ - 10}  \times  {8}^{ - 10}  =  {1}^{ - 10}  = 1

е) \:  \:  \:  \:  \:  {0.2}^{ - 6}  \times  {0.5}^{ - 6}  =  {0.1}^{ - 6}  =  {( \frac{1}{10} )}^{ - 6}  =  {10}^{6}  = 1000000 \\

Вторая фотография:

a) \:  \:  \:  \:  \:  {3}^{7}  \times  {3}^{ - 5}  =  {3}^{2}  = 9

б) \:  \:  \:  \:  \:  {2}^{ - 8}  \times  {2}^{5}  =  {2}^{ - 3}  =  {( \frac{1}{2} )}^{3}  =  \frac{1}{8}  \\

в) \:  \:  \:  \:  \: 49 \times  {7}^{ - 3}  =  {7}^{2}  \times  {7}^{ - 3}  =  {7}^{ - 1}  =  \frac{1}{7}  \\

г) \:  \:  \:  \:  \: 3 \div  {3}^{ - 3}  =  {3}^{ - 4}  =  {( \frac{1}{3}) }^{4}  =  \frac{1}{81}  \\

д) \:  \:  \:  \:  \: 16 \div  {2}^{ - 3}  =  {2}^{4}  \div  {2}^{ - 3} =  {2}^{7}   = 128

e) \:  \:  \:  \:  \:  {10}^{ - 6}  \div  {10}^{ - 4}  \div  {10}^{ - 8}  =  {10}^{ - 2}  \div  {10}^{ - 8}  =  {10}^{6}  = 1000000

ж) \:  \:  \:  \:  \:  { {(5}^{ - 3}) }^{ - 1}  =  {5}^{3}  = 125

з) \:  \:  \:  \:  \: (( { { \frac{1}{7} }^{ - 1} )}^{2}  =  {( \frac{1}{7} )}^{ - 2}  =  {7}^{2}  = 49 \\

и) \:  \:  \:  \:  \:  { {(0.01}^{ - 2} })^{ - 1}  = ( {0.01)}^{2}  = 0.0001

к) \:  \:  \:  \:  \:  { {(3}^{ - 2} )}^{ - 2}  \times  {3}^{ - 4}  =  {3}^{4}  \times  {3}^{ - 4}  = 1

л) \:  \:  \:  \:  \:  {25}^{ - 4} \div  {5}^{ - 7}   =  { {(5}^{2}) }^{ - 4}  \div  {5}^{ - 7}  =  {5}^{ - 8}  \div  {5}^{ - 7}  =  {5}^{ - 1}  =  \frac{1}{5}  = 0.2

м) \:  \:  \:  \:  \:  {6}^{ - 1}  \times  {( {6}^{ - 4}) }^{3}  \div  {36}^{ - 7}  =  {6}^{ - 1}  \times  {6}^{ - 12}  \div  { {(6}^{2}) }^{ - 7}  =  {6}^{12}  \div  {6}^{ - 14}  =  {6}^{26}

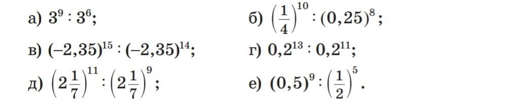
Третья фотография:

a) \:  \:  \:  \:  \:  {3}^{9}  \div  {3}^{6}  =  {3}^{3}  = 27

б) \:  \:  \:  \:  \: ( \frac{1}{4} ) {}^{10}  \div  {(0.25)}^{8}  =  {0.25}^{10}  \div  {0.25}^{8}  =  {0.25}^{2}  = 0.0625

в) \:  \:  \:  \:  \: ( { - 2.35)}^{15}  \div  {( - 2.35)}^{14}  =  - 2.35

г) \:  \:  \:  \:  \:  {0.2}^{13}  \div  {0.2}^{11}  =  {0.2}^{2}  = 0.04

д) \:  \:  \:  \:  \:  {(2 \frac{1}{7} )}^{11}  \div  {(2 \frac{1}{7}) }^{9}  =  {(2 \frac{1}{7}) }^{2}  =  (\frac{15}{7}  {)}^{2}  =  \frac{225}{49}  = 4 \frac{29}{49}

e) \:  \:  \:  \:  \: ( {0.5)}^{9}  \div  {( \frac{1}{2} )}^{5}  =  {0.5}^{9}  \div  {0.5}^{5}  =  {0.5}^{4}  = 0.0625

Похожие вопросы
Предмет: Математика, автор: ciotaandrej
Предмет: Алгебра, автор: pazitron