Предмет: Алгебра,
автор: Ansinia23
9 клас 1 Визначте, чи с задане число розв'язком нерівності:
1) x<4, х0=-9;
3) x² <= x₁ = 0,4;
2) 11-6x>0, xo -2;
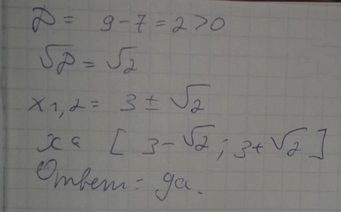
4) 6x-x² >7, x0-3-√2.
Приложения:
Ответы
Автор ответа:
3
Надеюсь помогла)удачи)
Приложения:
Ansinia23:
Спасибо больше
как ты сделал 4?
Похожие вопросы
Предмет: Физика,
автор: obezpalko32
Предмет: Математика,
автор: medina20q3
Предмет: Математика,
автор: vikxxkudd
Предмет: Алгебра,
автор: pasharaposovgames
Предмет: Алгебра,
автор: olga1975a