Предмет: Алгебра,
автор: Полина5509
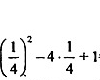
помогите решить пример
Приложения:
Ответы
Автор ответа:
0
1/4 * 1/4 = 1/16
4*1/4 = 1
1/16 - 1 = - 15/16
4*1/4 = 1
1/16 - 1 = - 15/16
Автор ответа:
0
Спасибо огромное! Всё ясно и понятно!
Автор ответа:
0
незачто )
Автор ответа:
0
тогда продолжаем: -15/16 + 1 = + 1/16
Автор ответа:
0
(1/4)2 - 4*1?4 +1 = 1/16 - 1 +1 = 1/16
Автор ответа:
0
там в конце + 1 есть?
Автор ответа:
0
Да, всё хорошо
Автор ответа:
0
аа, ну тогда мой ответ должен быть верен, а есть +1 нет, то ответ,что выше-верен)
Автор ответа:
0
если есть*
Автор ответа:
0
хм... и правда +1
Похожие вопросы
Предмет: Другие предметы,
автор: polina24065
Предмет: Биология,
автор: leila1055
Предмет: Биология,
автор: MilanaCh2008
Предмет: Химия,
автор: barabashdasha
Предмет: Математика,
автор: kristicha