Предмет: Математика,
автор: nn8575734
СРОЧНО! ДОПОМОЖІТЬ! ДАЮ 100 БАЛІВ
Приложения:
Ответы
Автор ответа:
1
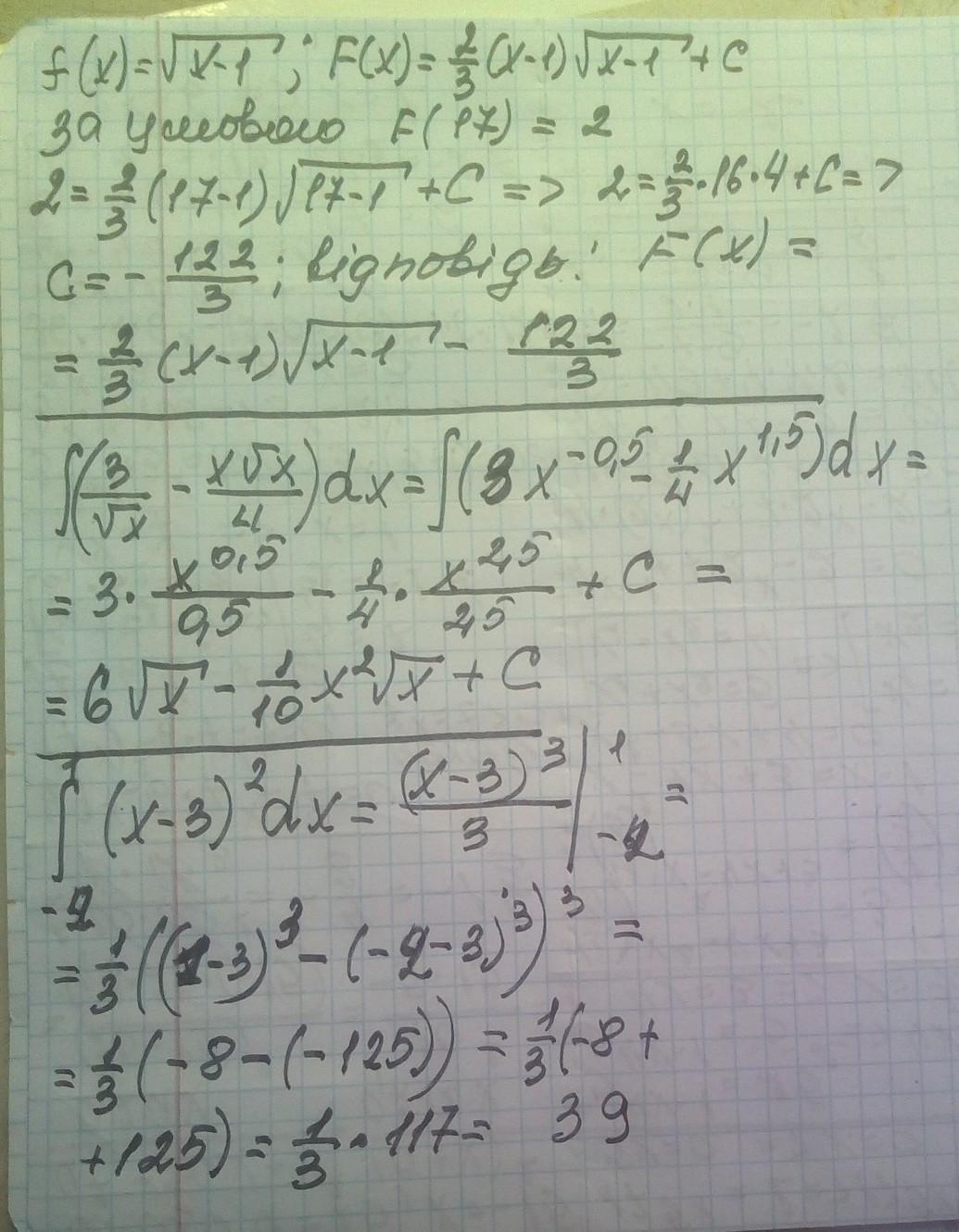
Ответ:
решение смотри на фотографии
Приложения:
nn8575734:
дякую!
Похожие вопросы
Предмет: Математика,
автор: panas108545
Предмет: Английский язык,
автор: bakailiza1986
Предмет: Химия,
автор: bugaevakaterina10
Предмет: Английский язык,
автор: killfaker9