Предмет: Алгебра,
автор: Wladikkr
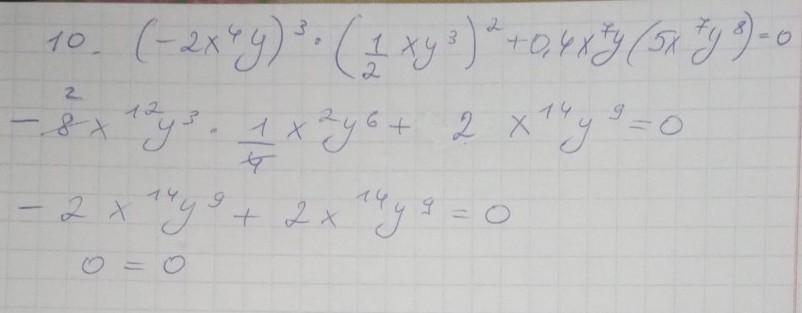
Помогите с кр пожалуйста
Приложения:
artemikunkov:
морально?
Ответы
Автор ответа:
0
Надеюсь помогла)удачи)
Приложения:
Похожие вопросы
Предмет: Английский язык,
автор: arubnickaya
Предмет: Литература,
автор: banderivkaua62
Предмет: Английский язык,
автор: mslobodenko1063
Предмет: Алгебра,
автор: LLIkoJIbHuk2005
Предмет: Литература,
автор: seva228666