Предмет: Алгебра, автор: crccrrcrcrcrrc

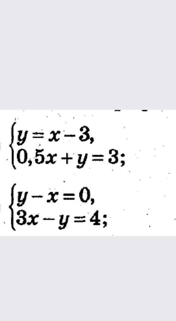
прошу срочно помогите пожалуйста помогите пожалуйста помогите пожалуйста помогите пожалуйста помогите ​

Приложения:

Ответы

Автор ответа: Sonamooiig
0

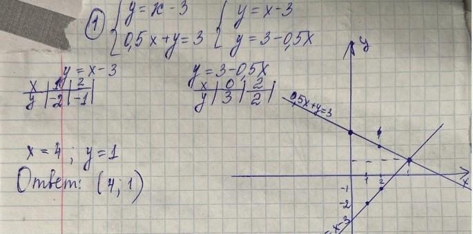
Ответ:

От надіюся правильно))))))))

Приложения:
Похожие вопросы
Предмет: Литература, автор: islamimambek6
Предмет: МХК, автор: Аноним
Церковь рассматривает икону как символ таинственной связи верующих с богом. Через эту связь икона способна приобщить человека к богу. Эта мысль прекрасно выражена в древней христианской легенде. Первые иконы Марии с младенцем Христом на руках написал евангелист Лука. Богоматерь, увидев их, произнесла: «…благодать моя с сими иконами да будет». Культ почитания христианских икон зародился в эпоху раннего христианства во II веке. На Русь икона пришла в Х веке из Византии. Древнейшие центры написания икон – Киев, Владимир, Новгород, Псков, Тверь и Москва. (выделенное записать)Они оставили на бесконечное разнообразие местных памятников живописи XI-XV веков, порой весьма различных по стилю, но всегда единых как по содержанию, так и по своим идейным основам. Понятие о светлых духовных началах человечества является основным внутренним смыслом древнерусской иконы на всем протяжении ее существования.
Вопрос: Как создавались иконы? (записать что такое ковчег, поля, лузга, поволока, левкас)
Иконы писали, как правило, на деревянных досках. Использовали дерево разных пород – липу, кипарис, но особенно дорого стоили доски сандалового дерева, источающие тонкий аромат. Древесина должна была быть сухой, поэтому материал для икон готовили зимой. Если заказчик просил сделать небольшой «образок», доску выпиливали из одного круглого полена. Для больших икон собирали щит из нескольких досок. Доски соединяли специальными планками-шпонками. По таким планкам можно определить время создания иконы. После того, как врезаны шпонки, начинали обрабатывать лицевую сторону. На щите со стороны, где надлежало писать икону, заглубляли прямоугольную выемку – ковчег. По сторонам от ковчега возвышались края доски – поля. Скос между полем и ковчегом называли лузгой. Для того, чтобы предохранить живопись от трещин и разрывов на доску клеили ткань – поволоку. На поволоку наносили левкас. Готовили его из мела и осетрового клея. Левкас наносили в несколько приемов, давая каждому слою хорошо просохнуть. Залевкашенную поверхность мастер тщательно выглаживал до идеально гладкой. Главное изображение художник помещал в ковчеге, на полях иконы писал поясняющие тексты или избранных святых. Работа не обходилась без иконописного подлинника, введенного в художественную практику постановлением Стоглавого собора во времена Ивана Грозного. Церковь строго предписывала художникам придерживаться старых образцов иконописи. После того, как был перенесен рисунок, иконописец слегка процарапывал его по левкасу. Делал он это для того, чтобы после наложения красок был виден легкий след рисунка, затем приступал к золочению. Золочение всегда было характерной чертой иконописи. Золото не только украшало икону, но имело определенный символический смысл – божественного света, сияния. Работать красками художник начинал с «доличного письма», то есть письма палат, элементов пейзажа, одежд святых и тому подобное. Он покрывал их первоначальными светлыми красками. Дальше шла роспись более темными красками. Затем завершал отделку двух деталей: прописывал кисточкой завитки волн, прорисовывал травы, уступы горок и другое. В последнюю очередь выполняли лица и обнаженные части тела. «Личное письмо» считалось самой сложной и кропотливой работой. Для окончательного завершения икону олифили. Олифа для икон готовилась особым способом: чистое льняное масло тщательно проваривали, разливали в большие, хорошо закупоренные горшки и ставили в горячие печи. Здесь его топили не менее чем полгода. За время томления масло хорошо отстаивалось, становилось чистым и прозрачным. Таким маслом и покрывали икону, чтобы закрепить краски на грунте. Назначение иконы было не только по этому тексту нужен конспект