Предмет: Алгебра,
автор: lukachveronika15
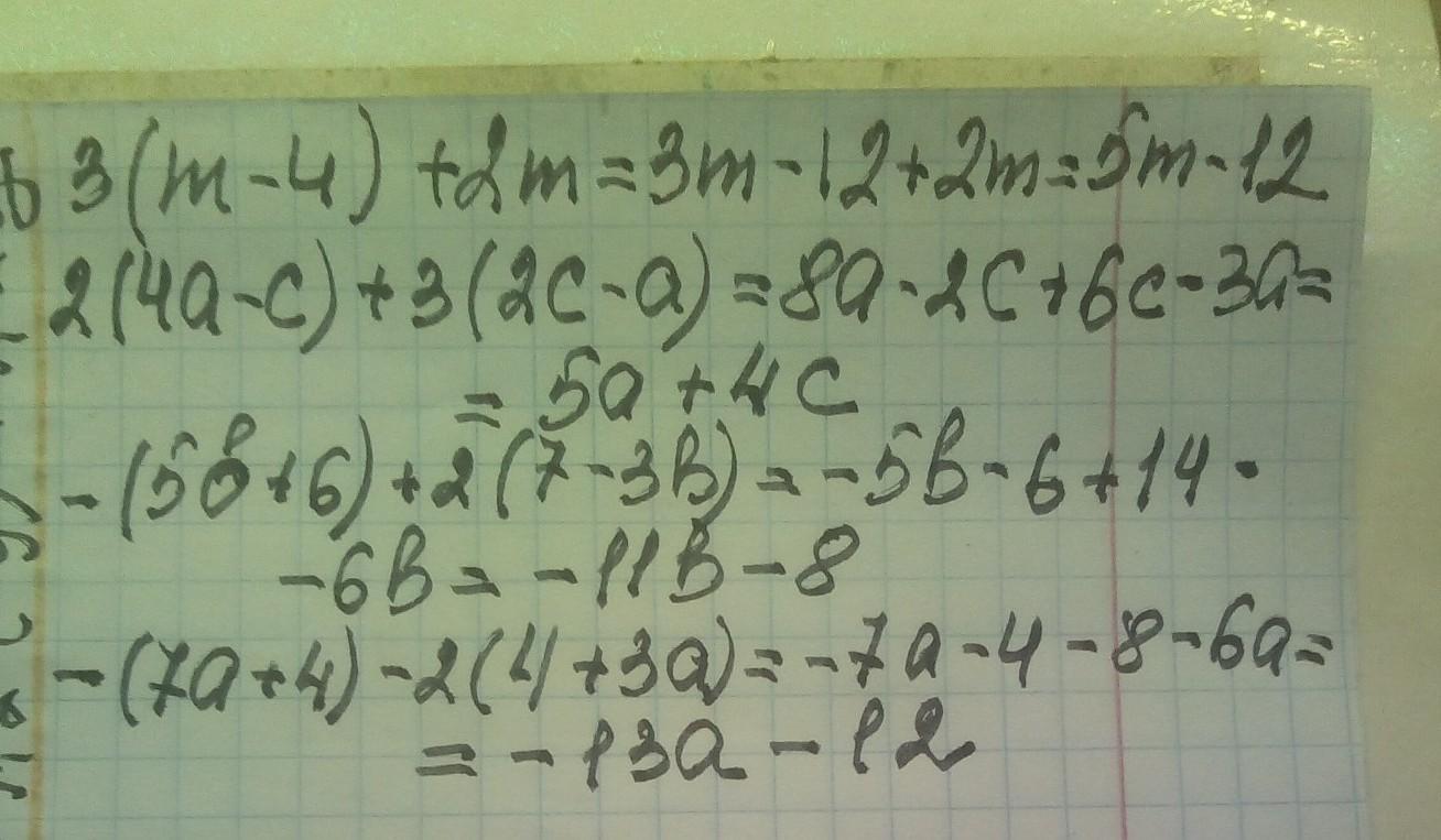
3(m-4)+2m
2(4a-c)+3(2c-a)
-(5в+6)+2(7-3в)
-(7а+4)-2(4+3а)
Ответы
Автор ответа:
1
Ответ:
решение смотри на фотографии
Приложения:
Universalka:
В третьем задании ответ - 11b + 8
Автор ответа:
0
Похожие вопросы
Предмет: Английский язык,
автор: maksik2289388
Предмет: Математика,
автор: zvezdasolnceva7
Предмет: Українська література,
автор: egorneroda1
Предмет: Английский язык,
автор: Alinkao12
Предмет: Геометрия,
автор: Аноним