Предмет: Алгебра, автор: narutoand0

помогите срочно пжпжпжпжпжп.

Приложения:

Ответы

Автор ответа: Biologuwu
0

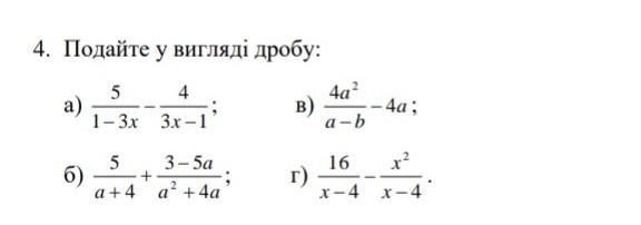
a)

 \frac{5}{1 - 3x}  -  \frac{4}{3x - 1}  =   - \frac{5}{3x - 1}  -  \frac{4}{3x - 1}  =  -  \frac{9}{3x - 1}

б)

 \frac{5}{a + 4}  +  \frac{3 - 5a}{a {}^{2}  + 4a}  =  \frac{5a}{a(a + 4)}  +  \frac{3 - 5a}{a(a + 4)}  =  \frac{5a + 3 - 5a}{a {}^{2}  + 4a}  =  \frac{3}{a {}^{2}  + 4a}

в)

 \frac{4a {}^{2} }{a - b}  - 4a =  \frac{4a { }^{2} - 4a(a - b) }{a - b}  =  \frac{4a {}^{2} - 4a { }^{2}   + 4ab }{a - b}  =  \frac{4ab}{a - b}

г)

 \frac{16}{x - 4}  -  \frac{x {}^{2} }{x - 4}  =  \frac{16 -  x  {}^{2} }{x - 4}  =  \frac{(4 - x)(4 + x)}{x - 4}  =  \frac{ - ( x - 4)( 4 + x)}{x - 4}  =  - (4 + x) = -  4 - x

Похожие вопросы
Предмет: Математика, автор: uschakovavaleryia
Предмет: Алгебра, автор: sabi0000