Предмет: Математика,
автор: horitonenkovova014
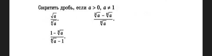
сократите дробь пожалуйста!
Приложения:
Ответы
Автор ответа:
1
Ответ:
решение смотри на фотографии
Приложения:
horitonenkovova014:
спасибо!
Похожие вопросы
Предмет: Химия,
автор: baji2007
Предмет: Українська мова,
автор: Аноним
Предмет: Литература,
автор: balausazhandos
Предмет: Биология,
автор: Ratatatarata