Предмет: Алгебра,
автор: 1503liza08
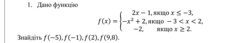
ПОМОГИТЕ ПОЖАЛУЙСТА, ОЧЕНЬ СРОЧНО НУЖНО
Приложения:
Ответы
Автор ответа:
2
Ответ:
решение смотри на фотографии
Приложения:
1503liza08:
спасибо большое, как появиться , дам лучший ответ
Похожие вопросы
Предмет: Другие предметы,
автор: sarnavskiyvovchik
Предмет: Математика,
автор: tischenkopolina2012
Предмет: История,
автор: savvov4
Предмет: Физика,
автор: misamisa123321
Предмет: История,
автор: DiraNimo