Предмет: Физика,
автор: andrey710968
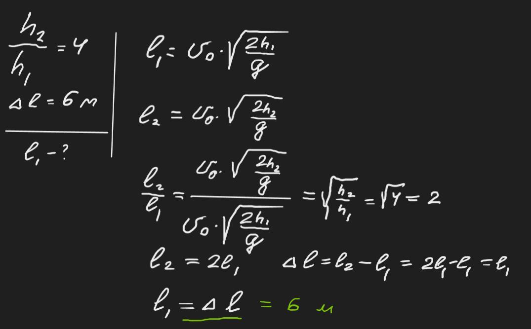
При збільшені висоти кидання тіла в горизонтальному напрямку в 4 рази дальність польоту зросла на 6 м. Початкова швидкість при кидання в обох випадках була однаковою. Визначите початкову дальність польоту?
Ответы
Автор ответа:
1
Відповідь: 6 м
Пояснення:
Приложения:
Похожие вопросы
Предмет: Українська мова,
автор: e9587039
Предмет: Другие предметы,
автор: miroshnychenkoo14
Предмет: Математика,
автор: irinaivchenko
Предмет: Математика,
автор: Аноним
Предмет: Английский язык,
автор: kolosokelizaveta