Предмет: Математика,
автор: grisinav559
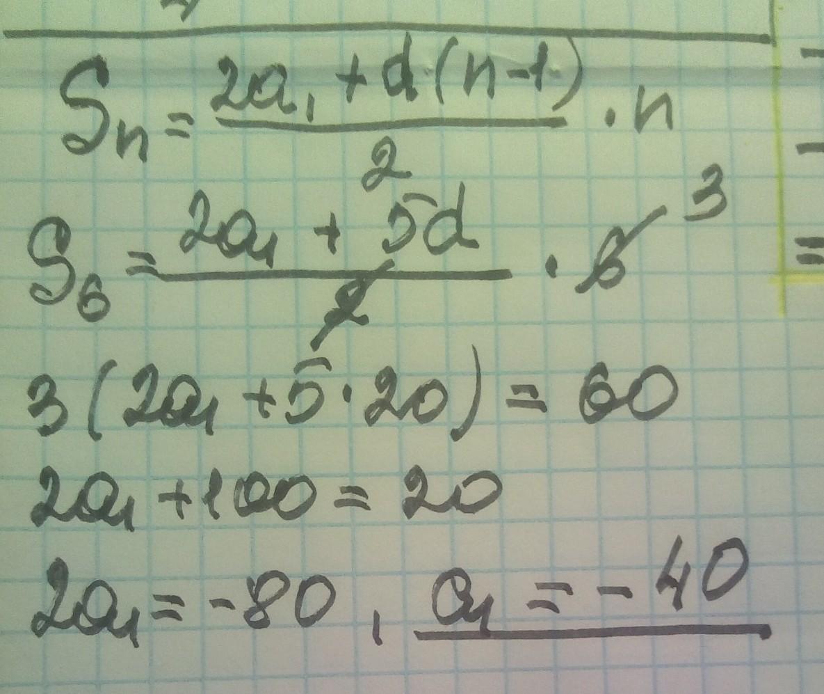
35. Найдите а1, если: 2) d = 20; S6 = 60;
Ответы
Автор ответа:
0
Ответ:
решение смотри на фотографии
Приложения:
Автор ответа:
0
Ответ:
ароыкхзяунщв6кнщщкзн
Похожие вопросы
Предмет: История,
автор: Iura13
Предмет: Английский язык,
автор: nazarpavlovskij12390
Предмет: Математика,
автор: vieniediktovadm
Предмет: Окружающий мир,
автор: Dilya1509
Предмет: Алгебра,
автор: 123hasa