Предмет: Математика, автор: mqrttz

ДОПОМЖІТЬ РАЦ ВИРАЗИ !!!!!!!

Приложения:

Ответы

Автор ответа: bertramjeratire
1

Ответ:

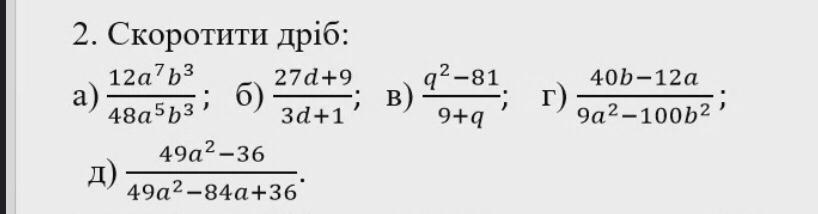
а)

 \frac{12 {a}^{7} {b}^{3}  }{48 {a}^{5} {b}^{3}  }  = \frac{ {a}^{7 - 5}  {b}^{3 - 3} }{4}  =  \frac{ {a}^{2} }{4}

б)

 \frac{27d + 9}{3d + 1}  =  \frac{9(3d + 1)}{3d + 1}  = 9

в)

 \frac{ {q}^{2}  -  {9}^{2} }{9 + q}  =  \frac{(q - 9)(q + 9)}{9 + q}  = q - 9

г)

 \frac{40b - 12a}{9 {a}^{2} - 100 {b}^{2}  }  =  \frac{ - 4(3a - 10b)}{(3a - 10b)(3a + 10b)}  =   - \frac{4}{3a + 10b}

д)

 \frac{49 {a}^{2}  - 36}{49 {a}^{2} - 84a + 36 }  =  \frac{(7a - 6)(7a + 6)}{ {(7a - 6)}^{2} }  =  \frac{7a + 6}{7a - 6}

Автор ответа: tatsach
0

Ответ:

Пошаговое объяснение:

Приложения:
Похожие вопросы