Предмет: Алгебра, автор: bogdan2959

Помогите пожалуйста
1)Между какими натуральными числами находится число: корень из 47

2)Выбери верные равенства

3)найди приближенное значение числа с точностью до сотых: корень из 111

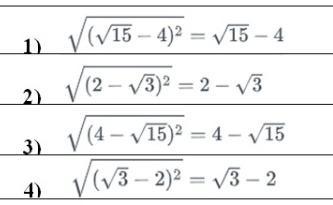
4)Выбери равенства, в которых верно применили свойство корня. (несколько верных ответов)

Приложения:

Ответы

Автор ответа: batyrbekayazhan7
0

Ответ:

1)между корнями из 36 и 49

2)корень из 1 +корень 25 =5

Похожие вопросы
Предмет: Русский язык, автор: Аноним
Помогите найти ВСЕ предлоги в тексте.

Если хочешь успешно учиться, нужно быть хорошо организованным человеком. Во-первых, надо стараться в течение дня выполнять намеченное. Приучись к этому с начала учебного года. Посоветуй также поступать своим приятелям. Во-вторых, с начала приготовь самые трудные уроки, потому что на их выполнение требуется больше времени. Зато освободиться время на любимые увлечения.
Если возникли какие-то трудности, загляни в словарь, в справочник. Эти книги твои помощники.время, которое ты потратишь на чтение, ты узнаешь много интересного. Это не просто, зато полезно.
Нужно не только больше читать, но и вовремя чтения выписывать высказывания, заинтересовавшие тебя. Полезно так же заучивать наизусть или стихи или фрагменты прозы, чтобы обогащать свой язык и развивать память.
Прислушавшись к этим несложным советам впоследствии ты станешь учиться лучше.