Предмет: Алгебра,
автор: lykaborec
Тут капец, помогите умоляю
Приложения:
zoraevagulnaz:
тебе поможет фотомач скачай очень полозно
Ответы
Автор ответа:
2
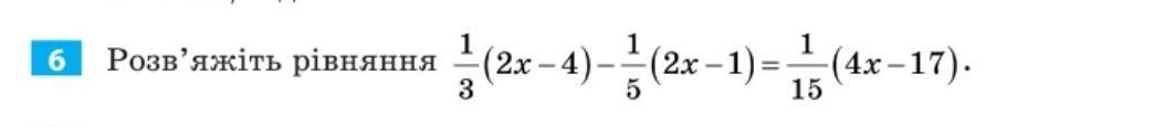
1/3(2x-4)-1/5(2x-1)=1/15(4x-17)
2/3x-4/3-2/5x+1/5=4/15x-17/15
2/3x-2/5x=4/15x
10x-6x=4x
4x=4x
Утверждение верно для любого значения x, потому что обе части одинаковы
x принадлежит R
2/3x-4/3-2/5x+1/5=4/15x-17/15
2/3x-2/5x=4/15x
10x-6x=4x
4x=4x
Утверждение верно для любого значения x, потому что обе части одинаковы
x принадлежит R
Автор ответа:
2
Довольно трудно, но впринципе решаемо.
Приложения:
Похожие вопросы
Предмет: Алгебра,
автор: nastyaaaa84
Предмет: Русский язык,
автор: pvre578
Предмет: Українська мова,
автор: xhvitalinahx
Предмет: Биология,
автор: dariaptickina
Предмет: Физика,
автор: hzjjjee