Предмет: Алгебра,
автор: egorinadara969
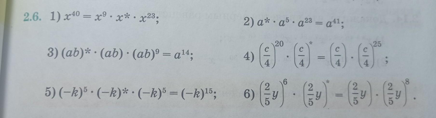
Алгебра 7 класс , задание 2.6 помогите пожалуйста
Приложения:
Ответы
Автор ответа:
1
Пж лучший ответ пжжжж
Приложения:
egorinadara969:
спасибо огромное
а это точно правильно ?
Похожие вопросы
Предмет: Геометрия,
автор: anutacipkolenko
Предмет: Математика,
автор: morozilona001
Предмет: Математика,
автор: lizabexsss
Предмет: Химия,
автор: superstarforever
Предмет: Физика,
автор: pipaka5441