Предмет: Математика,
автор: allaradcuk7
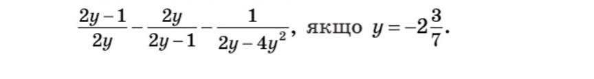
5. Знайдіть значення виразу:
Приложения:
Ответы
Автор ответа:
0
Ответ: 7/
Пошаговое объяснение:
Приложения:
Похожие вопросы
Предмет: Математика,
автор: propastinairina7
Предмет: Биология,
автор: kotletka56
Предмет: Литература,
автор: Аноним
Предмет: Литература,
автор: arutynyan04
Предмет: Обществознание,
автор: seripy2005