Предмет: Алгебра,
автор: polinaboykolutsenko
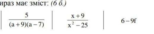
4. Вказати, при яких значеннях змінної вираз має зміст:
ПОМОГИТЕ ПОЖАЛУЙСТА!!!
Приложения:
Ответы
Автор ответа:
0
Ответ:
0-282800-00&0+00+0-09-9-9-0
Объяснение:
при цьому не можу провести аналіз та узагальнення та
polinaboykolutsenko:
можно нормально написать пожалуйста
Похожие вопросы
Предмет: Немецкий язык,
автор: sergmartologa
Предмет: Қазақ тiлi,
автор: nuraicom11
Предмет: Математика,
автор: mykhailofesiuk
Предмет: Английский язык,
автор: aomurzakova