Предмет: Математика,
автор: valeriabobik7
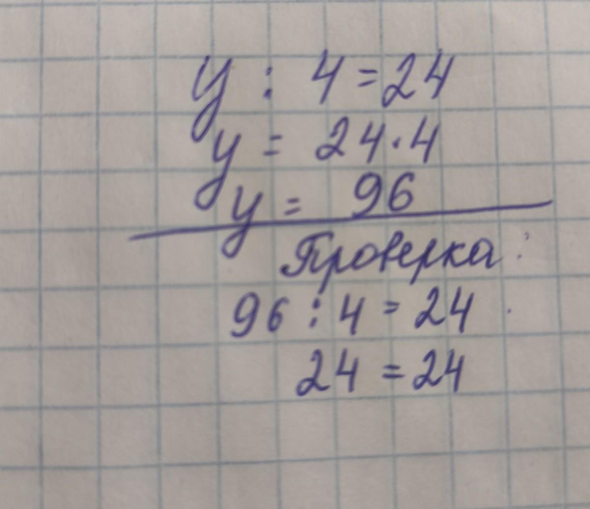
розв'яжи рівняння і виконай перевірку: y:4=24
Ответы
Автор ответа:
0
Пошаговое объяснение:
если помогла отметь пожалуйста как лучший ответ
Приложения:
Похожие вопросы
Предмет: Английский язык,
автор: dianadonchenko1999
Предмет: Алгебра,
автор: krisskakunova
Предмет: Английский язык,
автор: aiselia77
Предмет: Физика,
автор: Katya2005kolodiy
Предмет: Геометрия,
автор: gapsaliza133