Предмет: Математика,
автор: nikitavorotnuk046
помогите с математикой
Приложения:
Ответы
Автор ответа:
1
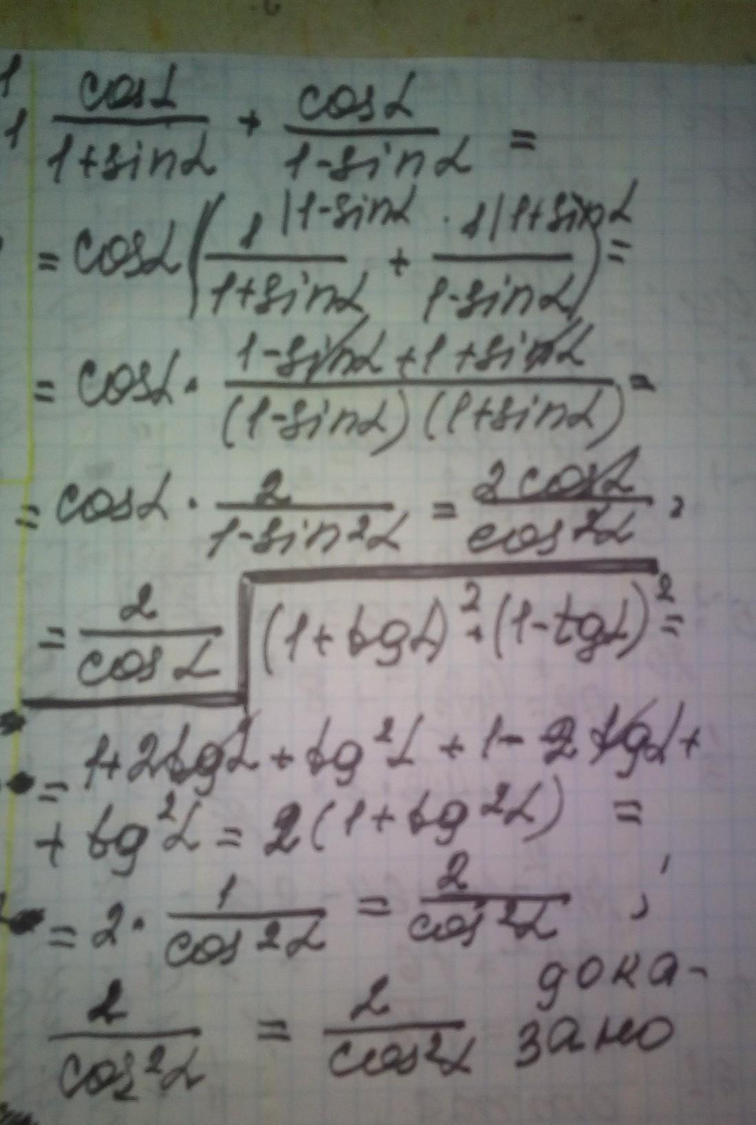
Ответ:
решение смотри на фотографии
Приложения:
Похожие вопросы
Предмет: Математика,
автор: Yanuk1986
Предмет: Литература,
автор: Аноним
Предмет: Математика,
автор: cifromag4165
Предмет: Химия,
автор: jkakjaao