Предмет: Математика,
автор: haysskysami
X+5+(4x-6)
(3х-2) -(5х-8)
20+5(0, 2у-4)
Ответы
Автор ответа:
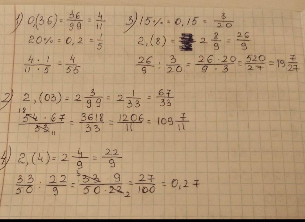
1
Пошаговое объяснение:
если не то то это сразу два фото я написала то и это
Приложения:
Похожие вопросы
Предмет: Українська література,
автор: veronikasharnina1982
Предмет: Математика,
автор: reznikovasofa10
Предмет: Литература,
автор: forosenkoangelina
Предмет: Алгебра,
автор: nedolekiy021