Предмет: Алгебра,
автор: shimpermansanelya7
[x+y=a, ly² + 2x=a²,
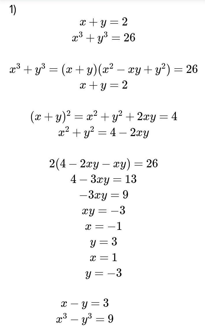
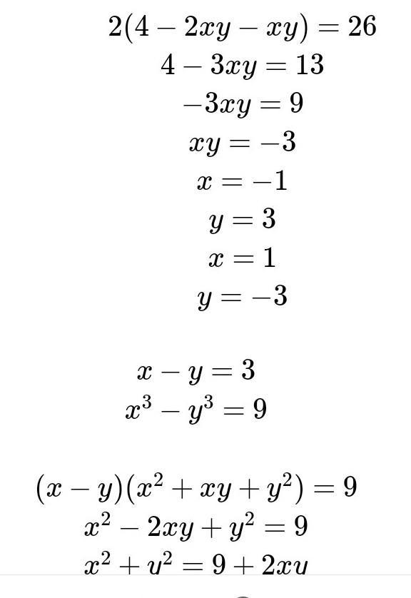
Приложения:
Ответы
Автор ответа:
0
Ответ:
Проверянный ответ
Объяснение:
Правилно
Приложения:
Похожие вопросы
Предмет: Английский язык,
автор: nikraperov
Предмет: Математика,
автор: elvirasupilova1
Предмет: Английский язык,
автор: Extizyyy
Предмет: Математика,
автор: beastteam2202
Предмет: Обществознание,
автор: Dominiczek