Предмет: Геометрия,
автор: konoromada
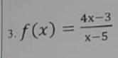
Составьте функцию обратную данной с подробным описанием каждого шага.
Приложения:
Ответы
Автор ответа:
0
Ответ:
PhotoMath прога
Объяснение:
Приложения:
Похожие вопросы
Предмет: Математика,
автор: ialisherov87
Предмет: Қазақ тiлi,
автор: jlyhhblugpyr
Предмет: История,
автор: makar4ik2407
Предмет: Английский язык,
автор: krestinkabogova