Предмет: Математика,
автор: ssaaasbrawl
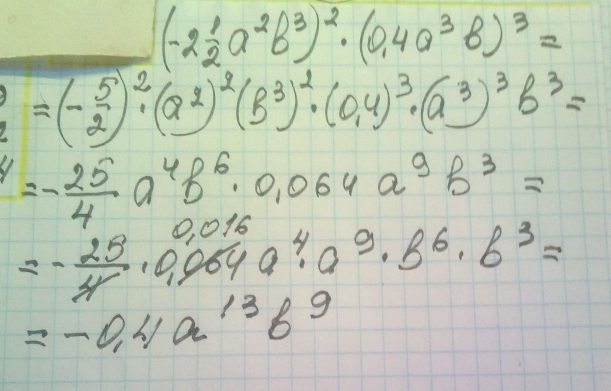
Решите этот ужас пожалуйста, даю 20 баллов
Приложения:
Ответы
Автор ответа:
1
Ответ:
решение смотри на фотографии
Приложения:
ssaaasbrawl:
СПС
Похожие вопросы
Предмет: Литература,
автор: kirabreus2010
Предмет: Русский язык,
автор: shdhhdhrhrhr
Предмет: Биология,
автор: Аноним
Предмет: Русский язык,
автор: siluyanovser
Предмет: Математика,
автор: dedmaksim71