Предмет: Алгебра, автор: Аноним

Алгебра допоможіть!!!
потрібно росписати всі рішення

Приложения:

Ответы

Автор ответа: Universalka
1

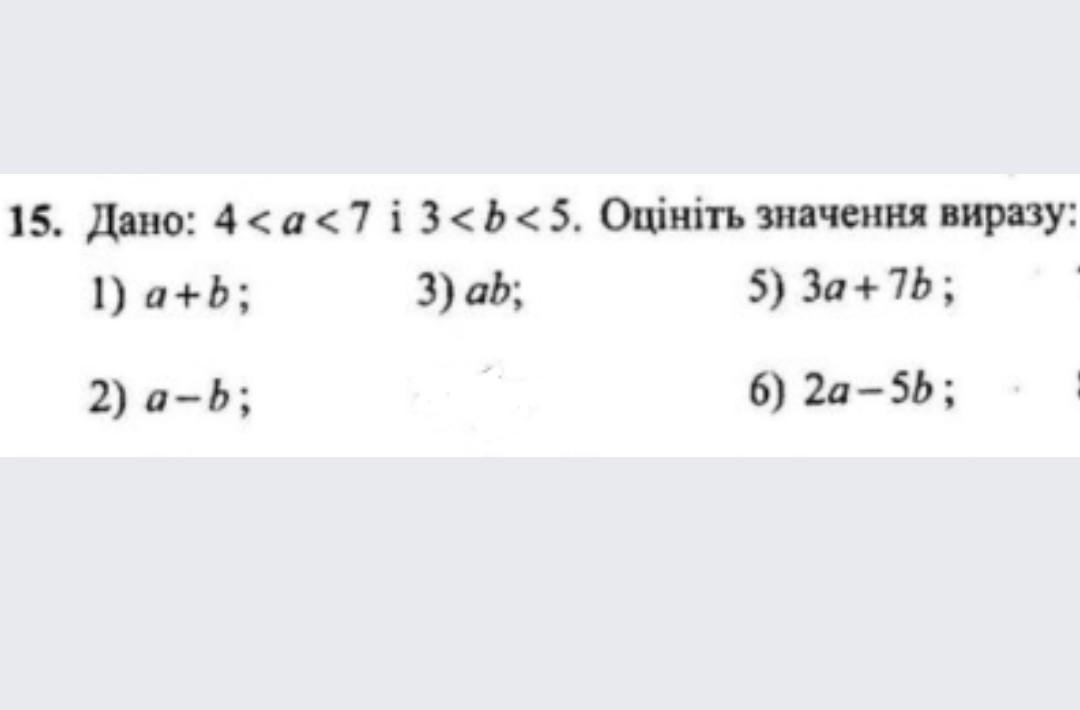
\displaystyle\bf\\1)\\\\4 < a < 7\\+\\3 < b < 5\\-----\\7 < a+b < 12\\\\\\2)\\\\4 < a < 7\\+\\-5 < -b < -3\\--------\\-1 < a-b < 4\\\\\\3)\\\\4 < a < 7\\\cdot\\3 < b < 5\\------\\12 < ab < 35

\displaystyle\bf\\5)\\\\4 < a < 7\\\\12 < 3a < 21\\\\3 < b < 5\\\\21 < 7b < 35\\\\\\12 < 3a < 21\\+\\21 < 7b < 35\\-------\\33 < 3a+7b < 56\\\\\\6)\\\\4 < a < 7\\\\8 < 2a < 14\\\\3 < b < 5\\\\-25 < -5b < -15\\\\\\8 < 2a < 14\\+\\-25 < -5b < -15\\-------\\-17 < 2a-5b < -1


Аноним: дякую
Похожие вопросы
Предмет: Геометрия, автор: dinaraktzh