Предмет: Математика,
автор: gnaila081
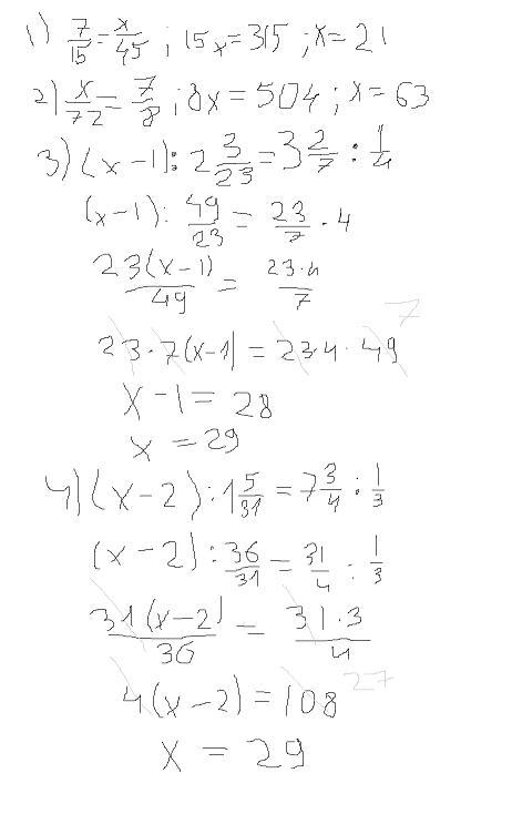
пожалуйста помогите решить, долго не был в школе, вообше не разбираюсь.
Приложения:
Ответы
Автор ответа:
1
Ответ:
Пошаговое объяснение:
Приложения:
Похожие вопросы
Предмет: Алгебра,
автор: Elisey1107
Предмет: Математика,
автор: netusajtama
Предмет: Английский язык,
автор: dilarabajrbaeva7
Предмет: История,
автор: dimadro05
Предмет: Қазақ тiлi,
автор: godunlena2