Предмет: Математика,
автор: kolesnikilya0208
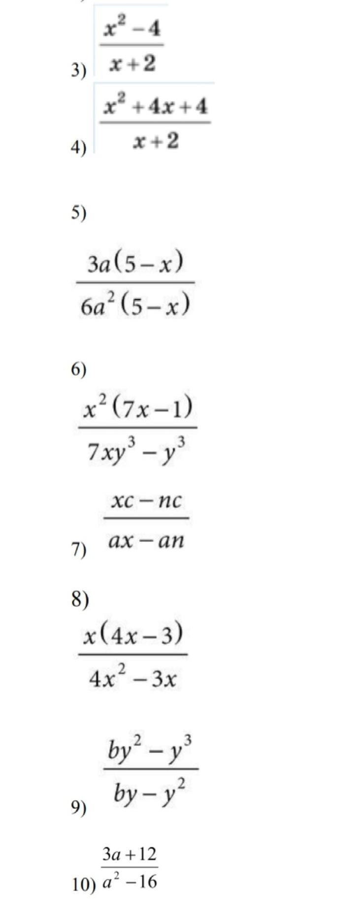
Помогите пожалуйста срочно нужно скоротити дроби напишите на листке и скиньте фото прошу даю 30 балов
Приложения:
Ответы
Автор ответа:
1
Ответ:
решение смотри на фотографии
Приложения:
Похожие вопросы
Предмет: Қазақ тiлi,
автор: ajsaudut6
Предмет: Литература,
автор: gargalykdaniil252009
Предмет: Английский язык,
автор: ostap2008lv
Предмет: Математика,
автор: nickwhiteoriginal
Предмет: Математика,
автор: Аноним