Предмет: Алгебра, автор: Masha123499977

СПОЧНО ПРОШУ, УМОЛЯЮ НАПИШИТЕ НА ЛИСТОЧКЕ ответ, прошу люди добрые, правда очень надо

Приложения:

Ответы

Автор ответа: sofysha10
0
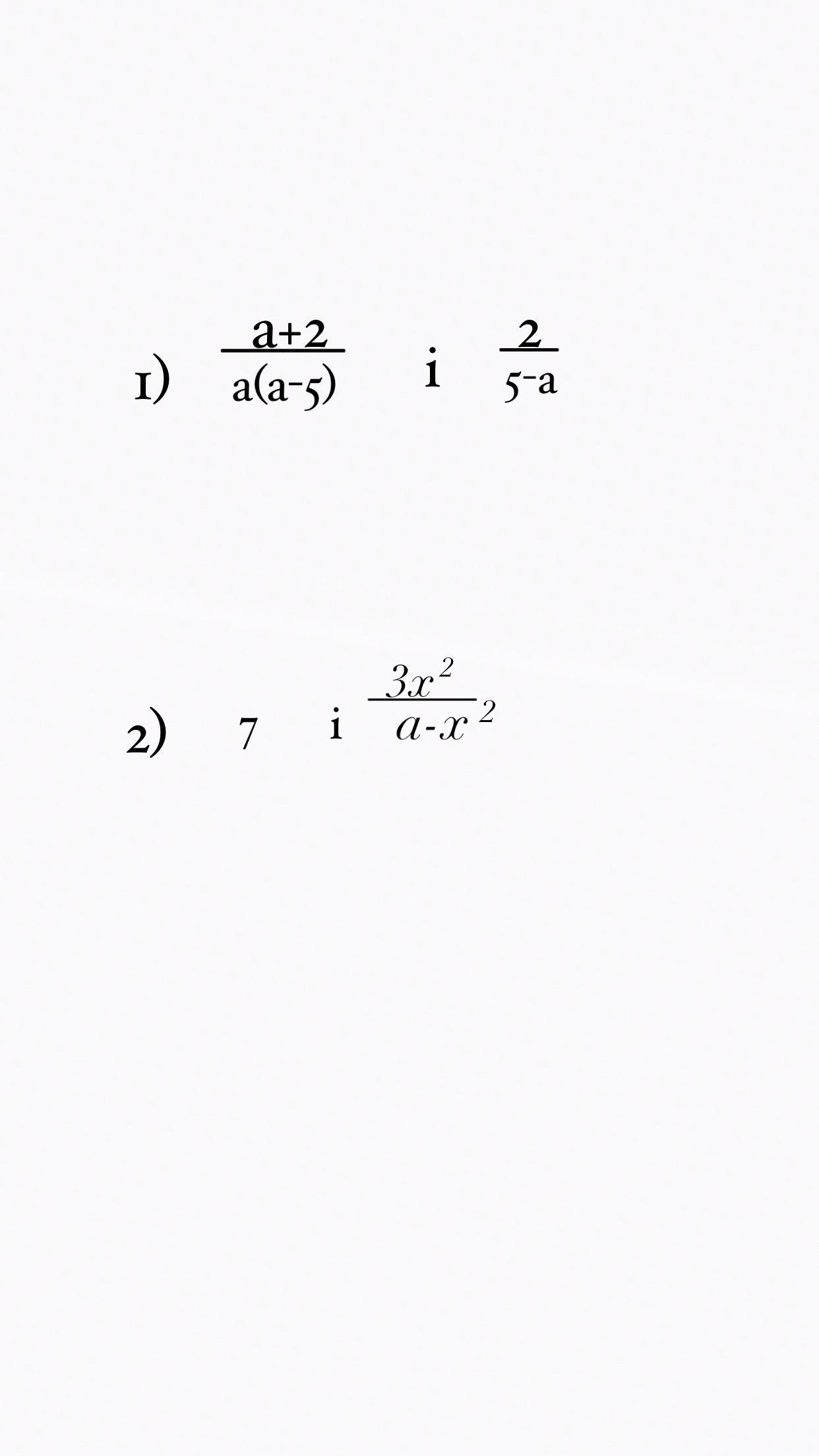
Как то так)).................................>
Приложения:
Похожие вопросы
Предмет: Английский язык, автор: nkolomiets81
Read the letter and say how the girl felt about
her travelling by plane.а тветить на етит вопрос даю 50б и Карпюк 6 клас

вот текст перевод


Всем привет!

На прошлой неделе я впервые в жизни летала на самолете. Я путешествовала со своими родителями.

Мы поехали в аэропорт на такси. Когда мы туда прибыли, мы погрузили наши чемоданы на тележку и вошли в здание аэропорта.

В ажропорту было слишком много людей. Некоторые из них были возле стола регистрации. Другие были возле справочной. Когда мы вошли в самолет, нас поприветствовала стюардесса и показала нам наши места. В самолете также было много других людей.

Это было фантастично, когда самолет начал взлетать в воздух. Я смотрела в окно. Все внизу было очень маленьким улицы, машины, здания и люди. И я была в восторге! -

Джулия




вот текст Hi all!

Last week I flew on an airplane for the first time in my life. I traveled with my parents.

We went to the airport by taxi. When we got there, we loaded our suitcases onto a cart and entered the airport building.

There were too many people at the airport. Some of them were near the registration desk. Others were near the information desk. When we got on the plane, we were greeted by a flight attendant and showed us to our seats. There were also many other people on the plane.

It was fantastic when the plane started to take off into the air. I looked out the window. Everything below was very small streets, cars, buildings and people. And I was delighted! -

Julia
Предмет: Қазақ тiлi, автор: XxMrBeastXx
Предмет: Математика, автор: akaiplus