Предмет: Алгебра,
автор: lunevamilana24
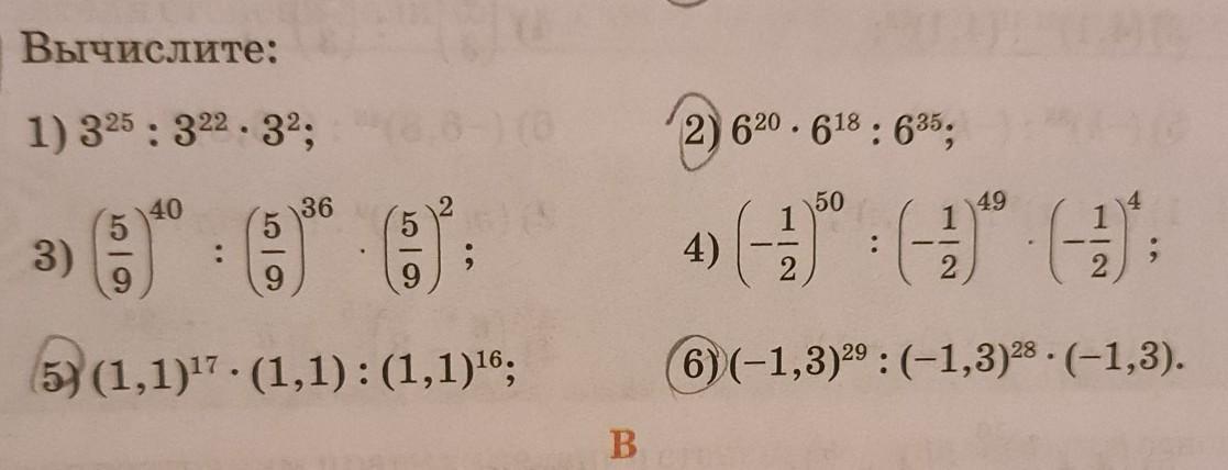
Помогите пжж,я вообще не знаю как там решать :(
Приложения:
Ответы
Автор ответа:
3
Ответ:
1)3⁵
2)6³
3)5/9⁶
4)-1/2⁵
5)1,1²
6)-1,3²
lunevamilana24:
Спасибо большое!
если основы одинаковы и идет умножение «3^2 • 3^4» то основа остаётся одна и та же, а степени плюсуются 3^2 • 3^4 = 3^6
а если нужно разделить, то степени отнимаются «3^4 : 3^2 = 3^2»
краткое объяснение к таким примерам
а если нужно разделить, то степени отнимаются «3^4 : 3^2 = 3^2»
краткое объяснение к таким примерам
Похожие вопросы
Предмет: Геометрия,
автор: Zheka6190
Предмет: Химия,
автор: Lisha234
Предмет: Литература,
автор: dusenovayasmina
Предмет: Математика,
автор: sevinchvakhabova