Предмет: Алгебра,
автор: sofa75432
пожалуйста помогите алгебра 7 класс дам 30 балов
Приложения:
Ответы
Автор ответа:
1
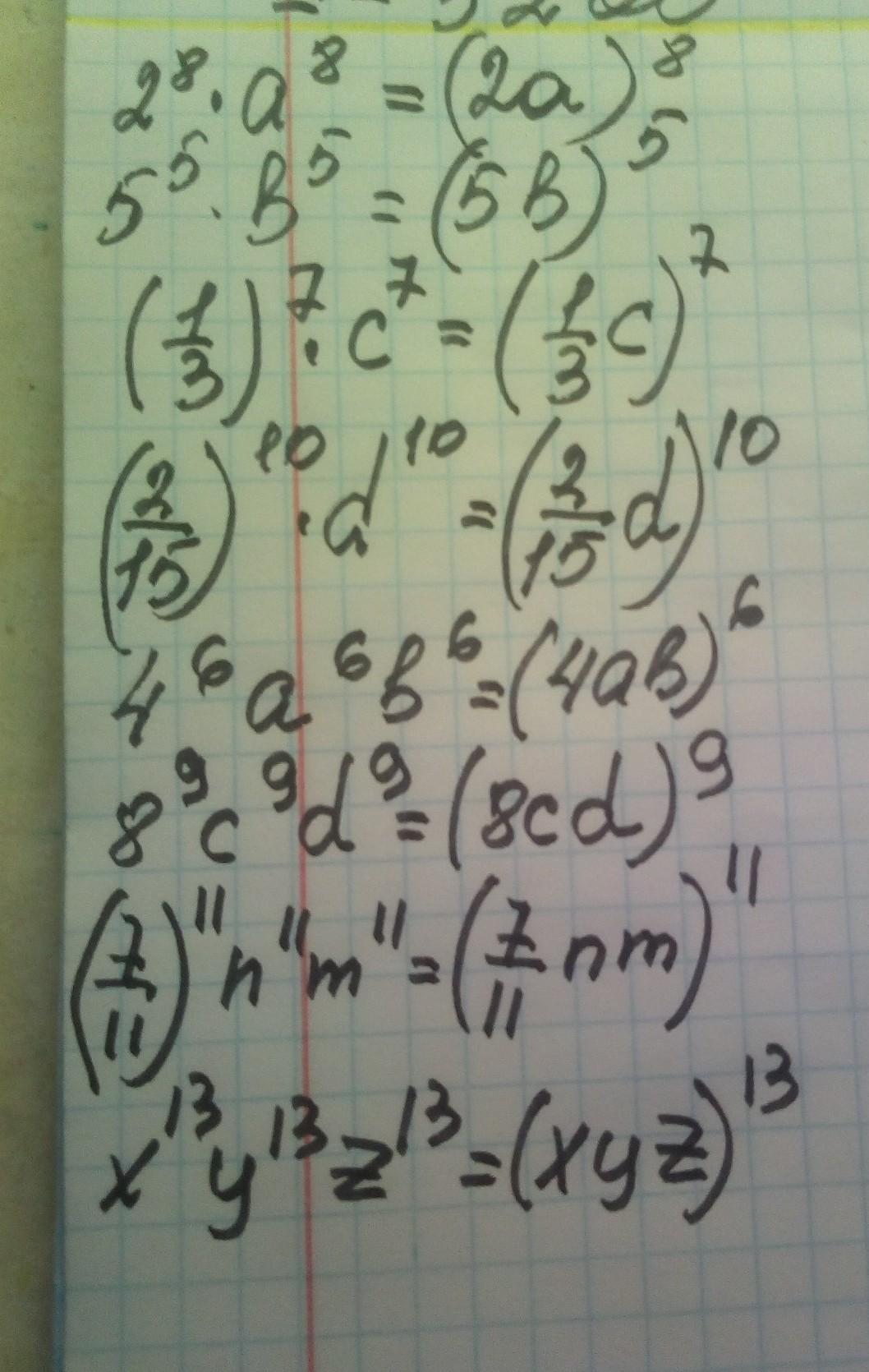
Ответ:
решение смотри на фотографии
Приложения:
sofa75432:
спасибо большое)
Похожие вопросы
Предмет: Алгебра,
автор: xxss8jjju
Предмет: История,
автор: dkxkdksk
Предмет: Геометрия,
автор: Hhbgvvcg
Предмет: Математика,
автор: nurik1721