Предмет: Алгебра,
автор: AnnaSteele
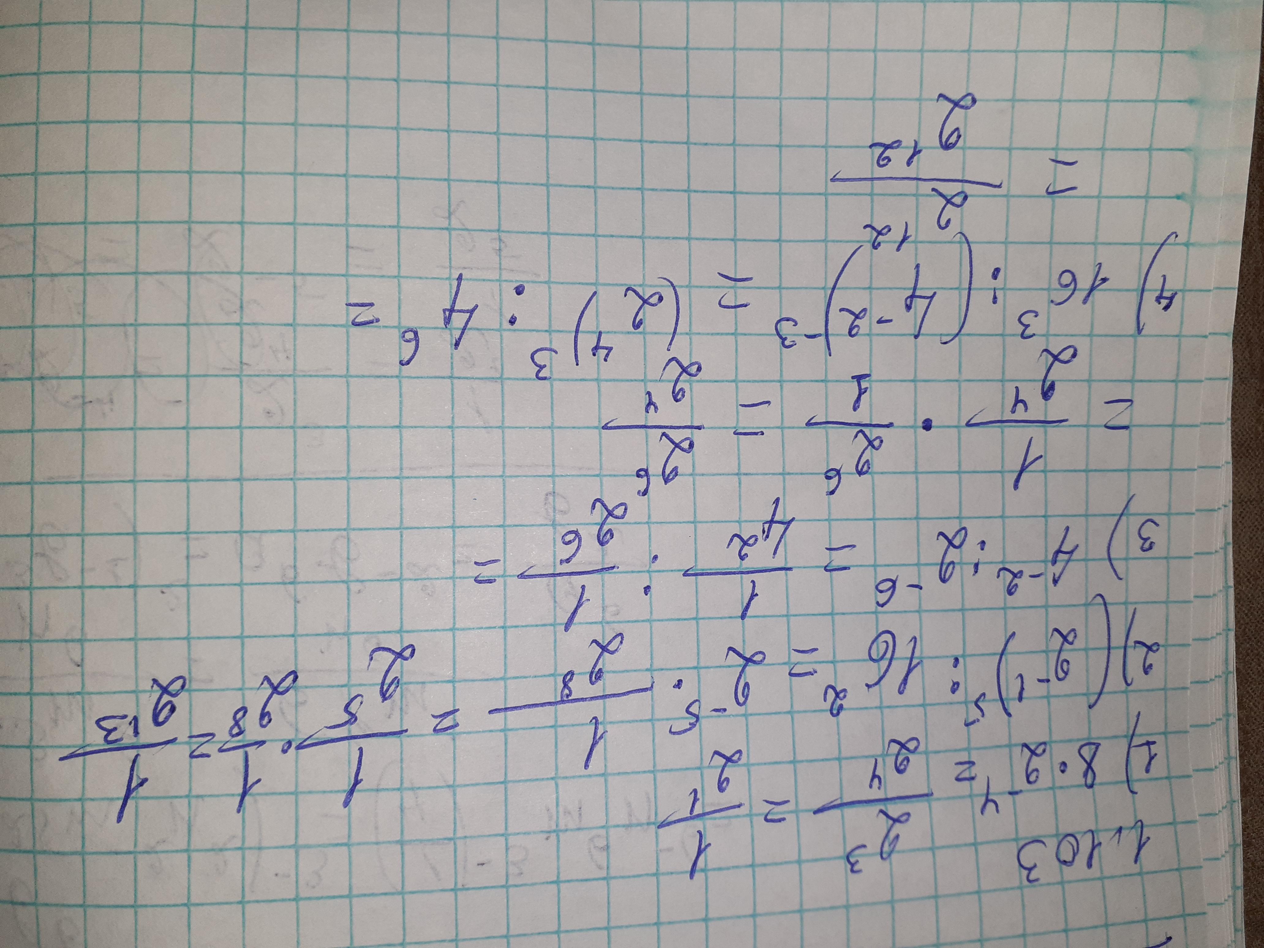
СРОЧНО!! пожалуйста, помогите по алгебре!! нужно сделать все 3 номера: 1.101;1.102;1.103
Приложения:
Ответы
Автор ответа:
1
Ответ:вот
Объяснение:
Приложения:
AnnaSteele:
спасибо большое!!
На здоровье
Похожие вопросы
Предмет: География,
автор: Narmina340
Предмет: Химия,
автор: azyaka9901
Предмет: Английский язык,
автор: Alivetrtr
Предмет: Математика,
автор: msbbbanan20
Предмет: Биология,
автор: higvrfnvfthjkkk