Предмет: Геометрия,
автор: ksuhanaaaa71
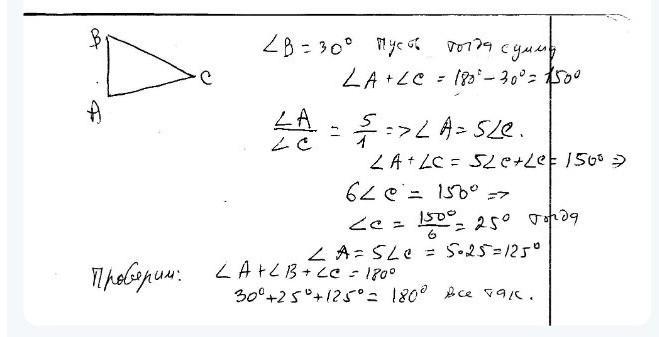
Письмово: №21. Знайти кути трикутника, якщо один з них 30°, а Два iнших відносяться як 1:5. A103 2. 10.
с рисунком
Ответы
Автор ответа:
1
Ответ:
вот пожалуста.........
Приложения:
Автор ответа:
0
Ответ: вот
Объяснение:
Приложения:
Похожие вопросы
Предмет: Алгебра,
автор: Maknae95
Предмет: Алгебра,
автор: saenkostepan829
Предмет: Физика,
автор: ptenya180810b
Предмет: Алгебра,
автор: dmsdms3381
Предмет: Информатика,
автор: puma69086