Предмет: Физика, автор: Аноним

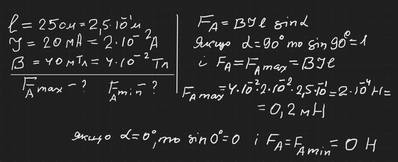
2. Визначiть максимальне і мінімальне значення сили Ампера, яка діє на провідник довжиною 25 см, якщо струм у ньому дорівнює 20 мА. Магнітна індукція магнітного поля 40 мТл ( 3 бали)​

Ответы

Автор ответа: persona22829
1

Ответ:

Объяснение:

Дано:

l = 0,25m

i = 20 * 10^-3

B = 40 * 10^-3

alpha max = 90

alpha min = 0

                             Розвязання

при максимальній силі ампера sin90 = 1, тому F = 40*10^-3 * 20 * 10^-3 + 0,25  * 1 = 0.0002 TL

при мінімальній F = 0, бо sin 0 = 0

Автор ответа: zybkov1950
1

Відповідь: 0,2 мН        0 Н

Пояснення:

Приложения:
Похожие вопросы
Предмет: Українська мова, автор: zlattaxx14
30 балів даю!!!!!!!!!!!!!!!Контрольна робота Ne 7
Речення зі звертаннями і вставними словами
4. Яке значення передають перелічені вставні слова: дивна річ, на щастя, як на гріх?
а) Указують на послідовність думки; б) указують на джерело повідомлення; в) виражають упевненість у повідомлюваному;
г) виражають почуття мовця.
5. У якому реченні допущено помилки у виділенні звертання? а) Гей, нові Колумби й Магеллани, напнемо вітрила наших мрій! б) Моє село, земний тобі уклін за молодість, за світло отчих стін. в) Гей юнаки, гей молодість світу, доля планети у ваших руках. г) О пісне вкраїнська! Дзвінка, невмируща, ти мука і радість, ти гнів і любов.
6. У якому реченні допущено помилку у виділенні вставного слова?
а) Вода ж тут бачите яка: в ній сила земна і сила сонця.
6) Раніше, бувало, друкувався навіть у столичних журналах. в) І здається з моєї долоні вирушають, співаючи, в путь колоски. г) Жахіть війни, на щастя, ви не зазнали.
7. Складіть речення за схемами.
3! ....
2. ..., 3?
3. ..., 3, ... .
4..
… , 3.
8. Продовже речення, уводячи вставні слова.
Щоденна зарядка...
Режим дня....
Здорове харчування..
Свіже повітря.
9. Складіть казку (6 - Тречень) на тему «В гостях у вставних слів».
Предмет: Алгебра, автор: Ленчикбарми