Предмет: Алгебра,
автор: Аноним
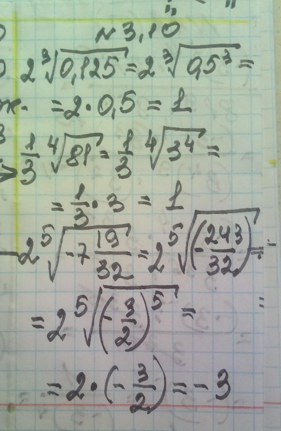
НОМЕР 3.7 ТА 3.10
АЛГЕБРА .ДУЖЕ ПОТРІБНО.ТЕРМІНОВО
Приложения:
Ответы
Автор ответа:
1
Ответ:
решение смотри на фотографии
Приложения:
Похожие вопросы
Предмет: Другие предметы,
автор: milkcookie062
Предмет: Українська мова,
автор: Karolina23488
Предмет: Геометрия,
автор: novikovaeliza2
Предмет: Биология,
автор: airxer