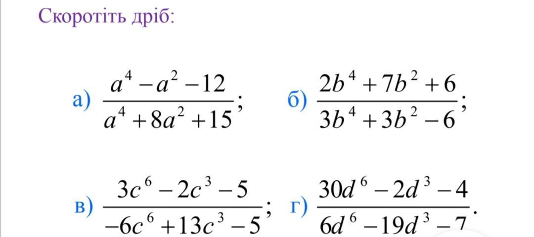
Предмет: Алгебра, автор: Yehert

Допоможіть. З поясненням.

Приложения:

Ответы

Автор ответа: LeraCryshtal
1
Добрый вечер!Вот ответы,вроде правильно,если что-то не понятно пишите
Приложения:
Похожие вопросы
Предмет: История, автор: amirrashidov20666666
А1. Карфаген являлся
1) древней римской провинцией
2) богатейшим городом в Северной Африке
3) поселением латинов на реке Тибр
А2. Что из названного связано с полководческой деятельностью Ганнибала?
1) переход армии через Альпы
2) разрушение Карфагена
3) морские победы
А3. Битва при Каннах завершилась
1) поражением карфагенян
2) победы не достигла ни одна из сторон
3) полным разгромом римлян
А4. Что произошло раньше?
1) победа Рима над Македонией
2) запрещение в Риме долгового рабства
3) установление республики в Риме
A5. Итог второй войны Рима с Карфагеном
1) завоевание Римом Сицилии
2) поражение римской армии
3) Рим стал хозяином в Западном Средиземноморье
Часть В
В1. Отметьте три сражения, которые произошли в ходе воин Рима с Карфагеном. Запишите цифры, под которыми они указаны.
1) битва при Каннах
2) битва при Херонее
3) битва при Заме
4) битва в долине реки По
5) битва у Фермопил