Предмет: Физика,
автор: Alonersoul
Помогите пожалуйста решить нижеприведенную задачу (даю сто баллов, ребята-физики, помогите пожалуйста пожилому :3)
Заряди 10 і 16 нКл розташовані на відстані 7 мм один від одного. Яка сила діятиме
на заряд 2 нКл, розміщений у точці, що віддалена на 3 мм від меншого заряду
й на 4 мм — від більшого?
Ответы
Автор ответа:
1
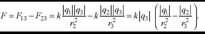
Дано
Найти F
r=r2+r3то заряд q3 лежит на прямой ,соединяющий заряды q1 q2
Приложения:
Похожие вопросы
Предмет: Математика,
автор: nesterenkoarina02
Предмет: Математика,
автор: dasham5927
Предмет: Литература,
автор: tetiana16
Предмет: Физика,
автор: arinavorobeva18
Предмет: Обществознание,
автор: 111123112