Предмет: Математика,
автор: illalevickij
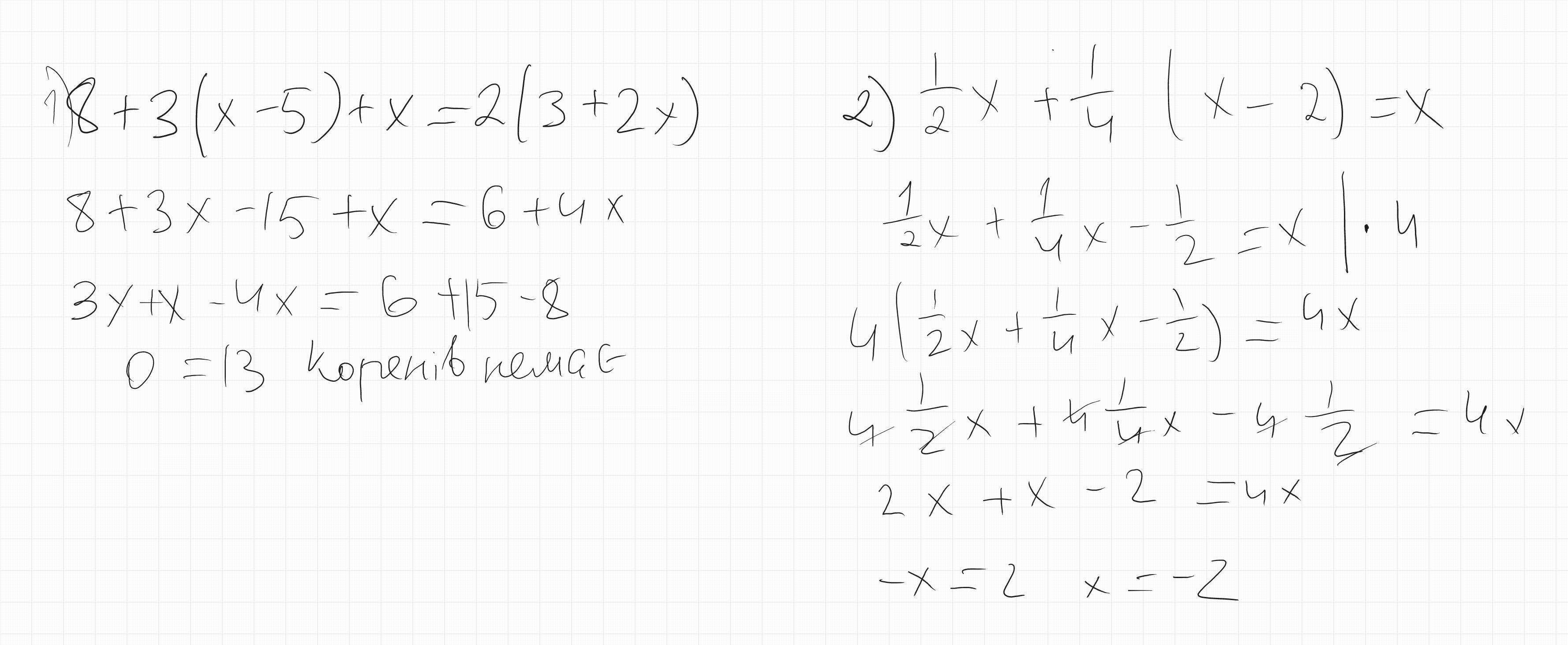
2)Розв'яжіть рівняння: a)8+3(x-5)+x=2(3+2x); 6)(1/2)x+(1/4)(x-2)=x,
допоможіть будь-ласка
Ответы
Автор ответа:
1
Відповідь:
Прикріпив
Приложения:
Автор ответа:
1
Сразу говорю, я не скопировала.
Приложения:
Похожие вопросы
Предмет: Другие предметы,
автор: majreametova
Предмет: Українська література,
автор: tkrikun174
Предмет: МХК,
автор: ГАЗ52
Предмет: Русский язык,
автор: alenayakimova1994
Предмет: Русский язык,
автор: nikacat545